transmission not shifting properly?

1999 CHEVROLET SILVERADO
30,000 MILES • 5.3L • V8 • 2WD • AUTOMATIC
Avatar
KATHLEEN MALONE
  • MEMBER
  • 2 POSTS
I installed refurbished 4l60e transmission and now it tries to take off in third gear and it will not shift out of third and. if I try to manually shift it and pull it down in the first year it will only go into second though it's in the first position and then again I can manually shift it into third, but it will not do nothing after that.
Sep 24, 2019 at 10:04 PM
Advertisement
Avatar
ASEMASTER6371
  • CERTIFIED EXPERT
  • 52,796 POSTS
Good morning,

The transmission has an internal fault. Are there any codes set? If it is rebuilt, then you need to take it back to the shop that performed the repair. It may be valve body-related or internal in the clutches. These guides can help

https://www.2carpros.com/articles/automatic-transmission-problems

and

https://www.2carpros.com/articles/checking-a-service-engine-soon-or-check-engine-light-on-or-flashing

Please run down these guides and report back.
Sep 25, 2019 at 8:04 AM
Avatar
KATHLEEN MALONE
  • MEMBER
  • 2 POSTS
This is the codes I get. it's almost like the transmission is getting no power. I just find it hard to believe all the solenoids went out at one time.
Sep 25, 2019 at 11:03 PM
Advertisement
Avatar
ASEMASTER6371
  • CERTIFIED EXPERT
  • 52,796 POSTS
Okay, I attached a wiring diagram of the transmission.

Check all the fuses listed for power on both sides with the key on.

https://www.2carpros.com/articles/how-a-car-fuse-works

If that is okay, then go to the connector at the transmission and make sure the connection is clean and tight.

Roy
Sep 26, 2019 at 8:48 PM
Avatar
PATRICK MCLARNAN
  • MEMBER
  • 2 POSTS
Get to 20 MPH shift no second gear action, but third gear catches manually. what is wrong with my truck? I don't need to try to fix it only need real knowledge.
May 6, 2021 at 10:33 AM (Merged)
Avatar
JACOBANDNICKOLAS
  • CERTIFIED EXPERT
  • 110,175 POSTS
Hi,

It could be several things. Can it be shifted into 2nd gear manually? As far as the problem, it is either worn clutches, low line pressure, or even a partially clogged transmission filter. Is the fluid clean and full? Does it have a burnt smell?

Let me know.

Joe
May 6, 2021 at 10:33 AM (Merged)
Avatar
PATRICK MCLARNAN
  • MEMBER
  • 2 POSTS
Transmission fluid is clean and full. 2nd just revs up to 4,000 RPMs, in order for 3 to take have to let RPMs drop to 1,000 or so.
May 6, 2021 at 10:33 AM (Merged)
Avatar
JACOBANDNICKOLAS
  • CERTIFIED EXPERT
  • 110,175 POSTS
We have a couple ways to go at this point.

First, (and is where I would start) would be to check for transmission diagnostic trouble codes. A basic scan tool in most cases wouldn't be able to read these codes, so you may need to have it done. By doing this, it should identify if there is an issue with a shift solenoid.

Second, try to flush the ATF system including the transmission and cooler. Something there could be causing the pressure to drop.

Third, check transmission line pressure. Here are the directions for doing this. The attached pic correlates with the directions.

________________________________________


1999 Chevy Truck K 1500 Truck 4WD V8-5.3L VIN T
Line Pressure Check
Vehicle Transmission and Drivetrain Automatic Transmission/Transaxle Testing and Inspection Component Tests and General Diagnostics 4L60-E/4L65-E Automatic Transmission Line Pressure Check
LINE PRESSURE CHECK

pic 1


Line pressures are calibrated for two sets of gear ranges-Drive-Park-Neutral and Reverse. This allows the transmission line pressure to be appropriate for different pressure needs in different gear ranges:

Before performing a line pressure check, verify that the Pressure Control (PC) solenoid for the transmission is receiving the correct electrical signal from the PCM:
1. Install a Scan Tool.

Caution: Keep the brakes applied at all times in order to prevent unexpected vehicle motion. Personal injury may result if the vehicle moves unexpectedly.

Notice: The transmission may experience harsh, soft or mushy shifts for up to two days later.

2. Start the engine and set the parking brake.
3. Check for diagnostic trouble codes, including a stored diagnostic code for the PC solenoid.
4. Repair the vehicle if necessary. Include the following areas:
^ Inspect the fluid level
^ Inspect the manual linkage at the transmission
^ Install or connect the Scan Tool.
^ Install or connect the oil pressure gauge at the line pressure tap.
5. Put the gear selector in Park and set the parking brake.
6. Start the engine and allow the engine to warm up at idle.
7. Access the PCS Control test on the Scan Tool.
8. Increase DESIRED PCS in 0.1 amp increments. Read the corresponding line pressure on the pressure gauge. Allow the pressure to stabilize for five seconds after each current charge.
9. Compare your data to the Drive- Park-Neutral line pressure table below.

If your pressure readings differ greatly from the line pressure table, refer to the Diagnosis Tables.

The Scan Tool is only able to control the PC solenoid in Park and Neutral with the vehicle stopped. This protects the clutches from extremely high or low pressures in Drive or Reverse ranges.

Refer to the Line Pressure table. The pressures in the table assume an engine speed of 1500 RPM and a temperature of 66°C (150°F). The pressure will vary with a change in temperature.

__________________________

Let me know your thoughts so I can better help.

Take care,
Joe
May 6, 2021 at 10:33 AM (Merged)
Avatar
ONE4ANDREW
  • MEMBER
  • 2 POSTS
Trans went out. I pulled and transmission guy rebuilt. I reinstalled with assist. Still same issue. Took truck to the transmission guy. Bad pump. Go to get truck and a few miles up the road, stopped shifting and had heat issue. Replace water pump and now radiator. Test drove and no shift. Notice speedo no worries and then worked and shifted. Stopped working and went back to 1/2 gear. Replaced VSS on right hand side. Was going to do left hand nand used right hand on left hand and worked. Drove a few miles and all good. 3 days later drove again and now worries again. A/C does not work either. What steps should I do?? Tools needed?? Should I take back to trans guy??? Harness diagram?? Thanks....
May 6, 2021 at 10:33 AM (Merged)
Avatar
ASEMASTER6371
  • CERTIFIED EXPERT
  • 52,796 POSTS
Good afternoon,

Yes, you should have a warranty on the transmission.

He needs to test and verify line pressure inside the transmission.

Also, the speedo not working will cause it no to shift at all. The ECM needs to see vehicle speed from that sensor.

https://www.2carpros.com/articles/automatic-transmission-problems

I attached the wiring diagram for the transmission as well. You will need a scan tool for the line pressure testing. I attached that procedure for you as well.

https://www.2carpros.com/articles/how-to-check-wiring

https://www.2carpros.com/articles/how-to-use-a-voltmeter

Roy
May 6, 2021 at 10:34 AM (Merged)
Avatar
ONE4ANDREW
  • MEMBER
  • 2 POSTS
ASEMASTER6371. Thank you for all the info. Will start chasing solutions/tests for answers.
May 6, 2021 at 10:34 AM (Merged)
Avatar
ASEMASTER6371
  • CERTIFIED EXPERT
  • 52,796 POSTS
You are welcome.

Always glad to help.

Roy
May 6, 2021 at 10:34 AM (Merged)
Avatar
TYSTERLING19
  • MEMBER
  • 1 POST
When i was driving down the highway, my transmission started acting up. the transmission was stuck in 3rd gear when i was in Drive, so when i would start out, it would accelerate slowly until up to speed. So I only had 3rd gear when I was in Drive and in 3rd, and i had only 2nd gear when i was in 2nd and 1st. My torque converter was also not locking up, so when i would coast (let off the throttle) the rpm would drop to idle but stay in 3rd gear and the engine wouldn't hold the truck back. P0740, P0753, and P0758 were the codes coming up. I found out that when range solenoid 1-2, and range solenoid 2-3 are not working, 2nd and 3rd gears are all you can get. I figure it is either a problem with a ground wire or some wire in the harness, and maybe the computer which i hope isn't the problem! My truck did this for half an hour untill i reached my destination, then i checked all my fuses which were good and glanced at wiring harness to the transmission, and never seen anything major. After a while i started up my truck, and test drove it again and the whole problem went away. Please message me back if you have any solutions, thanks.
Tyler
May 6, 2021 at 10:34 AM (Merged)
Avatar
FACTORYJACK
  • CERTIFIED EXPERT
  • 4,159 POSTS
This sounds like you have corrosion at the main wiring connector please remove the connector and check for rust etc. If that seems okay I would replace the PCM with a used unit to see what happens.

https://www.2carpros.com/articles/how-to-check-wiring

Here is the wiring diagrams and PCM location.

Check out the diagrams (Below)

Please let us know what happens.

Cheers
May 6, 2021 at 10:34 AM (Merged)
Avatar
YOYOYOYO
  • MEMBER
  • 1 POST
I did the test using the guide and the wiring diagram and I found the PCM to be bad because I have a buddy that has the same truck we took it out of his now the truck works perfect thanks for you help the site rocks water back.
May 6, 2021 at 10:34 AM (Merged)
Avatar
FACTORYJACK
  • CERTIFIED EXPERT
  • 4,159 POSTS
Use 2CarPros anytime, we are here to help. Please tell a friend.

Cheers
May 6, 2021 at 10:34 AM (Merged)
Avatar
LBRICE
  • MEMBER
  • 1 POST
Transmission not shifting into overdrive. The tac and speedometer not working. GAGES is flashing on dashboard panel.
May 6, 2021 at 10:34 AM (Merged)
Avatar
QUAGMIRE86
  • CERTIFIED EXPERT
  • 98 POSTS
I had a similar problem where all my gauges were "Pegging" back and forth from limit to limit. The problem was that the positive battery cable was slightly loose (intermittent contact) and there was much corrosion on the battery cable (Electrical system will NOT run on the alternator alone...it needs good battery continuity to run correctly). As far as the Overdrive problem, if you have a battery problem, the Torque converter clutch solenoid may not be getting proper electrical flow).

This guide can help us fix it

https://www.2carpros.com/articles/automatic-transmission-problems

Please run down this guide and report back.
May 6, 2021 at 10:34 AM (Merged)
Avatar
GARY MYERS
  • MEMBER
  • 1 POST
Doesn't seem to want to shift into third and overdrive. it does if i lift on the throttle! The shift indicator light blinks on an off when i turn the heater fan on. Dropped the pan and found no big problem except normal shavings on magnet and pan put back together after cleaning was a little bit better. Fluid was no burnt or smelled burned. Tachometer and speedometer work but speedometer is off a few MPH slow compared to GPS!
May 6, 2021 at 10:34 AM (Merged)
Avatar
ASEMASTER6371
  • CERTIFIED EXPERT
  • 52,796 POSTS
Good morning,

I would pull the governor off the side of the transmission and check the plastic gear on the end. It was common for that gear to dish and caused shifting issues.

https://www.2carpros.com/articles/automatic-transmission-problems

I attached the procedure and a picture of the location for you.

Roy

1. Raise and support vehicle
2. Remove governor cover from case using extreme care not to damage cover. If cover is damaged, it should be replaced.
3. Remove governor.
4. Reverse procedure to install and check fluid level.
May 6, 2021 at 10:34 AM (Merged)
Avatar
ANTHONY BORJA
  • MEMBER
  • 1 POST
I replaced the transmission and the original problem still exists (wont shift out of third). My question is, with the speedometer not working and current shift issue will the VSS be the next logical step?
May 6, 2021 at 10:34 AM (Merged)
Avatar
JACOBANDNICKOLAS
  • CERTIFIED EXPERT
  • 110,175 POSTS
Welcome to 2CarPros.

Most certainly. The VSS can be the entire problem. However, before just replacing it, have you checked for diagnostic trouble codes? Usually a bad sensor will set a code indicating the failure.

Pic 1 shows VSS location.

If you check the VSS and it's good, continue to the next test.


If you get a code 16, there is most likely an issue with the VSS buffer. Here are the directions for testing it.


CIRCUIT DESCRIPTION
This DTC concerns a loss of 2002 pulses per mile to the PCM terminal "F13." This may be caused by loss of power to the Vehicle Speed Sensor (VSS) buffer or an open or grounded signal line.

DTC 16 WILL SET WHEN
^ Less than 2 mph.
^ 1400 to 5000 rpm.
^ Throttle angle less than 2%.
^ ECT greater than 60°C (140°F).
^ MAP less than or equal to 27 kPa.
^ CKT 1716 open or grounded.
^ All conditions must be met for 2 seconds.

ACTION TAKEN (PCM WILL DEFAULT TO)
None.

DTC 16 WILL CLEAR WHEN
Conditions for fault are no longer present and Tech 1 "clear DTCs" function is used or 50 ignition switch keycycles have passed with no further faults or ignition switch is turned "OFF" and battery feed voltage is removed for 10 seconds.

DTC CHART TEST DESCRIPTION
Number(s) below refer to circled number(s) on the diagnostic chart.

1. This tests for B+ at VSS buffer.

2. This tests for proper ground path for vehicle speed sensor signal buffer.

3. This tests for vehicle speed sensor signal buffer signal to PCM.

4. This test checks for faulty connections and a faulty VSS buffer.

DIAGNOSTIC AIDS
Check connections at VSS buffer and PCM. Refer to appropriate trouble codes if DTC 24 or DTC 72 is also set.

The remaining pics are a flow chart for checking this issue. The last two pics show location of the VSS buffer.


Let me know if this helps or if you have other questions

Joe
May 6, 2021 at 10:34 AM (Merged)
Avatar
LEONARD74
  • MEMBER
  • 1 POST
the transmission will not shift in auto . can put in 1st and shift to 3rd manualy have checked fuse , changed fluid and filter
May 6, 2021 at 10:34 AM (Merged)
Avatar
SCOTTY DEE
  • CERTIFIED EXPERT
  • 592 POSTS
Scan the transmission control module for codes. There were a lot of these that had valve body updates to the transmission. These guides can help us

https://www.2carpros.com/articles/automatic-transmission-problems

and

https://www.2carpros.com/articles/buick-cadillac-chevy-gmc-oldsmobile-pontiac-gm-1983-1995-obd1-code-definitions-and-retrieval-method

Please run down these guides and report back.
May 6, 2021 at 10:34 AM (Merged)
Avatar
RYLAND51
  • MEMBER
  • 1 POST
My truck would not shift out of 1st gear, fluid and reverse all good, speed odometer not working, looked at the plug on the side of the transmission, it was ok, looked back a foot away. Mice chewed thru one of the wires. Spliced with butt splices, everything is good now.
This truck sits parked most of the time.
May 6, 2021 at 10:34 AM (Merged)
Avatar
JACOBANDNICKOLAS
  • CERTIFIED EXPERT
  • 110,175 POSTS
Hi,

It sounds like the wire is related to the signal from the vehicle speed sensor. (VSS). That will cause the transmission shifting issue and the speedo as well.

Glad to hear you got it fixed, Let us know if you have questions in the future.

Take care,
Joe
May 6, 2021 at 10:34 AM (Merged)
Avatar
BRYCEN ROGERS
  • MEMBER
  • 4 POSTS
I have first and second gear but no third fourth and the turn signals fast. code 24 speed sensor won't work put new one in transmissions brand new.
May 6, 2021 at 10:34 AM (Merged)
Avatar
KASEKENNY
  • CERTIFIED EXPERT
  • 18,907 POSTS
Okay. The no third or fourth is most likely caused by the wheel speed sensor code so we need to fix that. I attached the test for this code. If the transmission is new and the sensor is new then more than likely you have a wiring issue which you should find following this test.

Let me know if you have questions as you work through it. Thanks
May 6, 2021 at 10:34 AM (Merged)
Avatar
BRYCEN ROGERS
  • MEMBER
  • 4 POSTS
Finally somebody that knows what they're talking about from One Professional to another I appreciate your help. I'll send you a picture so you know what kind of vehicle I'm working on and how much it means to me since I've built it from scratch everything.
May 6, 2021 at 10:34 AM (Merged)
Avatar
BRYCEN ROGERS
  • MEMBER
  • 4 POSTS
Now the charts that you sent me, do I start with the first page and then go to the second page then the third where do I start?
May 6, 2021 at 10:34 AM (Merged)
Avatar
BRYCEN ROGERS
  • MEMBER
  • 4 POSTS
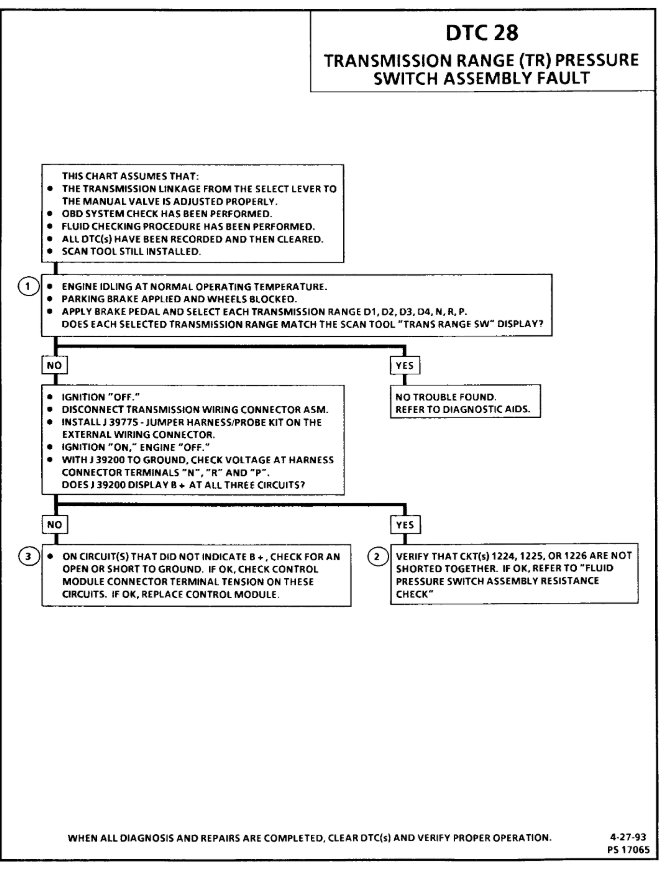
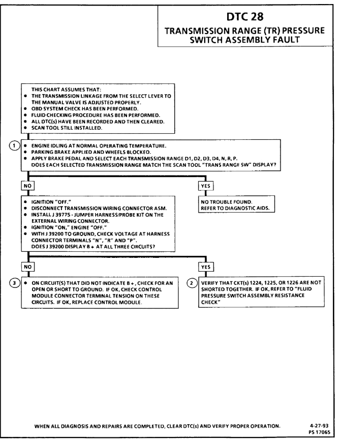
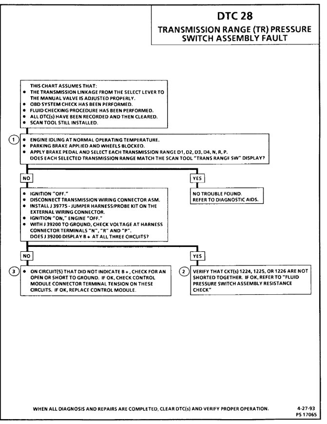
I also have a code 16 and a code 28 which is bad wiring 16.
May 6, 2021 at 10:34 AM (Merged)
Avatar
KASEKENNY
  • CERTIFIED EXPERT
  • 18,907 POSTS
Okay. I attached those codes as well. Yes. You start with the flow chart and the second page is the wiring diagram for this code. Then the last page is a description. I would read the third page so you are familiar with it but it looks like you may have one issue causing all three of these so I would start with one of the speed sensor codes and fix that one. Then I bet the others will not return either. However, if they do, just move onto to it. Worse case scenario you have three separate issues but I highly doubt that.
May 6, 2021 at 10:34 AM (Merged)
Avatar
ALPHAPA
  • MEMBER
  • 1 POST
My trucks transmission seems to shift too late into second and third. It also has a hard shift into second. Most of the driving is in 20 to 40 mile zones. When I need to drive 20 mph the trans is in first gear. Will change into second until about 22 to 23 mph. Seem to me that if you are not accelerating it should shift up into third so that I can drive at this speed and not use up a lot of gas.
If I need to cruise at 30 mph it stays in second. Will not change into third until about 37 mph.
Why doesn't it shift into third high gear if you are not accelerating. I can under stand if you are only rolling about 10 or 12 mph. All of my other vehicles that I have ever had shift into 3rd even before 20 mph if I am not accelerating.
When accelerating hard with other vehicles they would hang in first gear past 20 mph and hang in second past 35 mph before shifting into third.
Also its not downshifting like when I want to pass a car on the highway. It will drop out of overdrive. But it doesn't go into overdrive until about 56 mph. So If I am doing 40 or 45 mph and I step on the gas it will not down shift into second for a quick get away.
When I come to a stop it will downshift into low and as I accelerate it will do the late shifting like described above and hard shift into second.
May 6, 2021 at 10:34 AM (Merged)
Avatar
STRAILER
  • CERTIFIED EXPERT
  • 53,854 POSTS
Hello,

It sounds like the engine has low vacuum due it a clogged catalytic converter. To be sure here is a guide so you can test it to confirm the issue:

https://www.2carpros.com/articles/how-to-test-a-catalytic-converter

Also we should run the codes.

https://www.2carpros.com/articles/buick-cadillac-chevy-gmc-oldsmobile-pontiac-gm-1983-1995-obd1-code-definitions-and-retrieval-method

Please run down these guides and report back.
May 6, 2021 at 10:34 AM (Merged)
Avatar
PETE MATTHEWS
  • MEMBER
  • 2 POSTS
Will not shift into neutral in drive all the time. scan said output sensor.
May 6, 2021 at 10:34 AM (Merged)
Avatar
STEVE W.
  • CERTIFIED EXPERT
  • 15,113 POSTS
DTC 24 - Vehicle Speed Sensor error (open circuit or no activity) Does the speedometer work? If not check the speed sensor on the back of the T-Case for bad/damaged wiring. Or a defective speed sensor.

DTC 61 - This one comes up with three possible definitions. The one GM lists as applicable to your truck is a bad BPMV (Brake Pressure Modulator Valve) (for DTCs 61/62/63 all the same solution, replace the valve.


DTC 73: Pressure Control Solenoid (PCS) Circuit Current Error (Force Motor Circuit)

Circuit Description: The pressure control solenoid is a TCM-controlled device used to regulate transmission line pressure. The TCM compares TP voltage, engine rpm and other inputs to determine the appropriate line pressure of a given load. The TCM will regulate the pressure by applying a varying amperage to the pressure control solenoid.
The applied amperage can vary from 0.1 to 1.1 amp. The TCM then monitors the amperage on the return circuit.

DTC 73 Will Set if - The return amperage varies greater than 0.16 amps from the commanded amperage.
All conditions are met for 1 second.

I would start with the speed sensor as it tells the system when and how to shift and may be causing the DTC73 because it does not shift.
May 6, 2021 at 10:34 AM (Merged)
Avatar
PETE MATTHEWS
  • MEMBER
  • 2 POSTS
Speedometer does work. my scan says dtc61. is the b solenoid stuck on? would this cause it to be in forward gear all the time?
May 6, 2021 at 10:34 AM (Merged)
Avatar
STEVE W.
  • CERTIFIED EXPERT
  • 15,113 POSTS
Not sure how solenoid B could be stuck on, The 4L60 only has one solenoid and it locks the convertor clutch.
Un plug it and see if you can shift now.
May 6, 2021 at 10:34 AM (Merged)
Avatar
MIKE GIBBS
  • MEMBER
  • 3 POSTS
Will go 15-20 miles an hour then rpm's go up.
Happened in stop and go traffic. By the time I got to stopping place it was overheating. Had to replace gasket on water pump. No water in transmission fluid or fluid in water. Gives no codes.
May 6, 2021 at 10:34 AM (Merged)
Avatar
ASEMASTER6371
  • CERTIFIED EXPERT
  • 52,796 POSTS
Good afternoon,

There is a governor in the transmission that controls the shifting. It is a common failure for this issue.

Roy

1. Raise and support vehicle
2. If necessary, remove exhaust system.
3. Remove governor cover from case using extreme care not to damage cover. If cover is damaged, it should be replaced.
4. Remove governor.
5. Reverse procedure to install and check fluid level.
May 6, 2021 at 10:34 AM (Merged)
Avatar
MIKE GIBBS
  • MEMBER
  • 3 POSTS
Called around could not find another governor in town give me a few days but I did feel this one apart and that is the problem you can see one of the pins for the butterfly weights is sheared and the gears are half gone
May 6, 2021 at 10:34 AM (Merged)