Code P505, where is the relay for the idle air control valve located?

1998 HONDA CIVIC
266,000 MILES • 1.6L • 4 CYL • 2WD • AUTOMATIC
Avatar
MIKE WP23
  • MEMBER
  • 1 POST
We have changed the idle air control valve the TPS and all hoses and still throwing the po505 code.
Aug 16, 2022 at 8:02 PM
Advertisement
Avatar
JACOBANDNICKOLAS
  • CERTIFIED EXPERT
  • 110,175 POSTS
Hi,

Is the idle speed consistent, and correct? Also, are you getting any other codes?

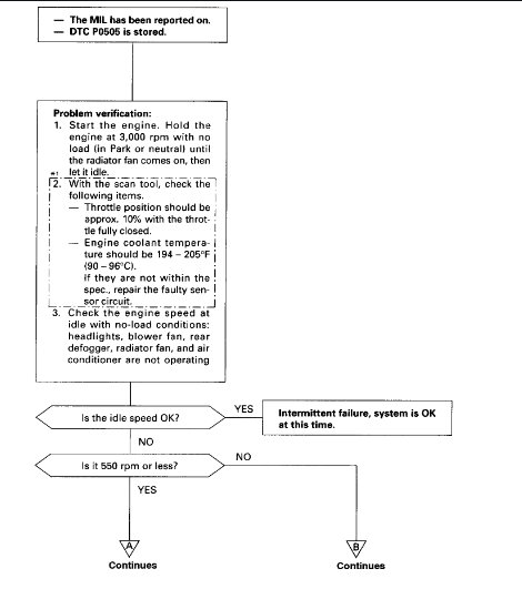
This could be a few things. I attached the diagnostics below for P0505. It will require a scan tool. Take a look through them and let me know if you feel comfortable doing it.

Also, if you haven't cleaned the throttle body, you may want to try that as well. Here is a link that explains how it's done:

https://www.2carpros.com/articles/throttle-actuator-service

Let me know.

Joe

See pics below.
Aug 16, 2022 at 8:44 PM