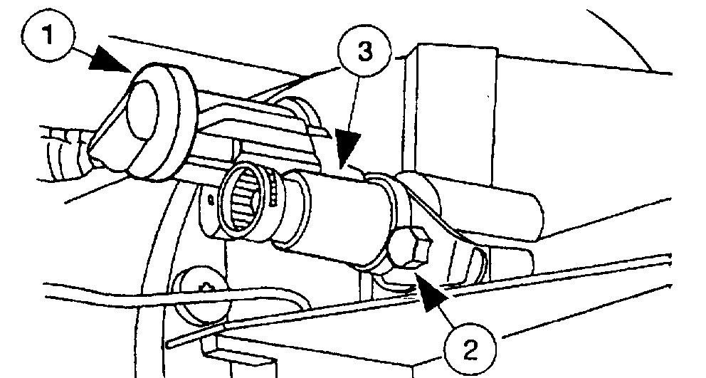
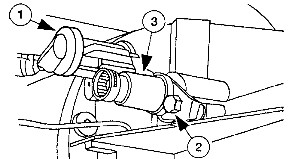
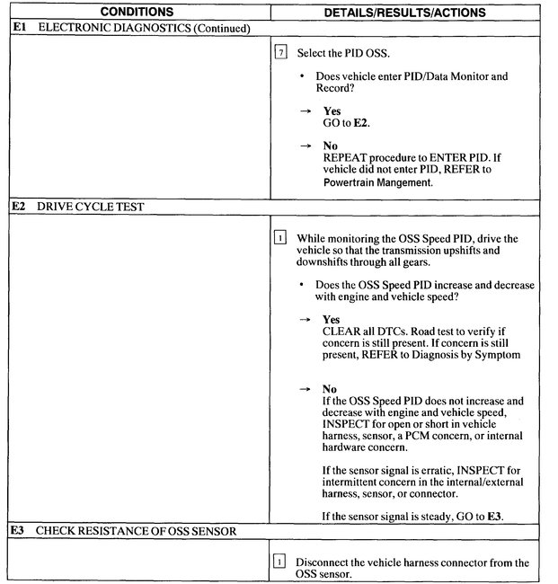
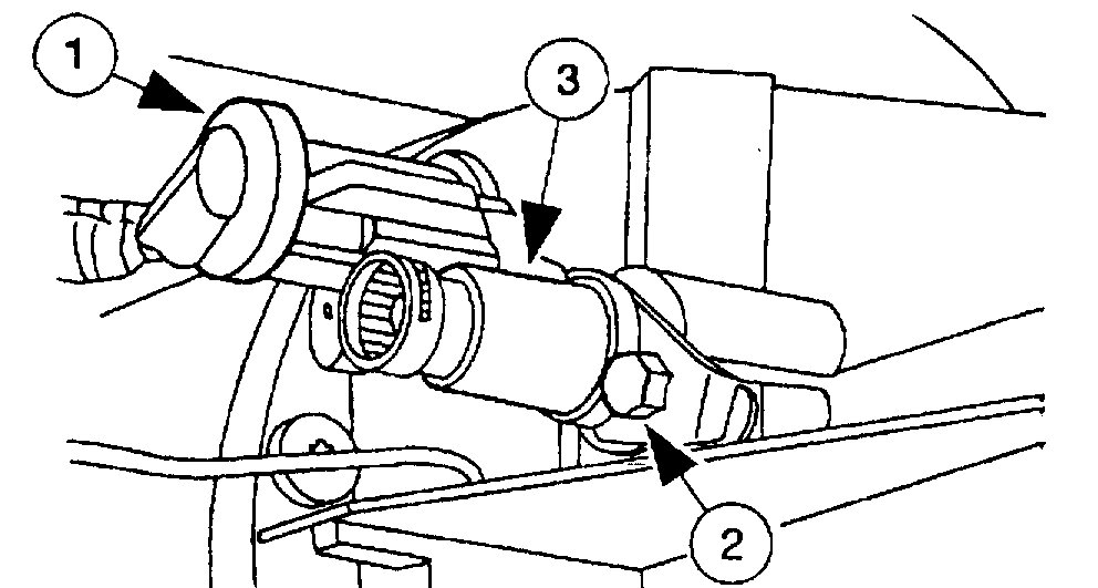
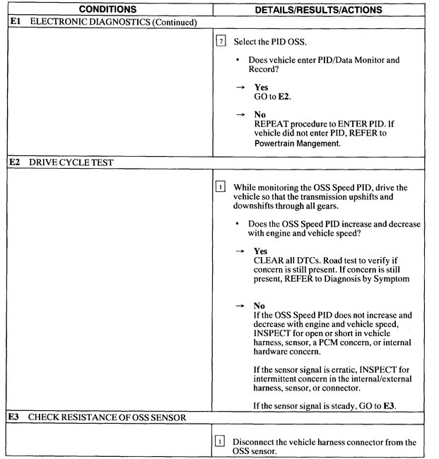
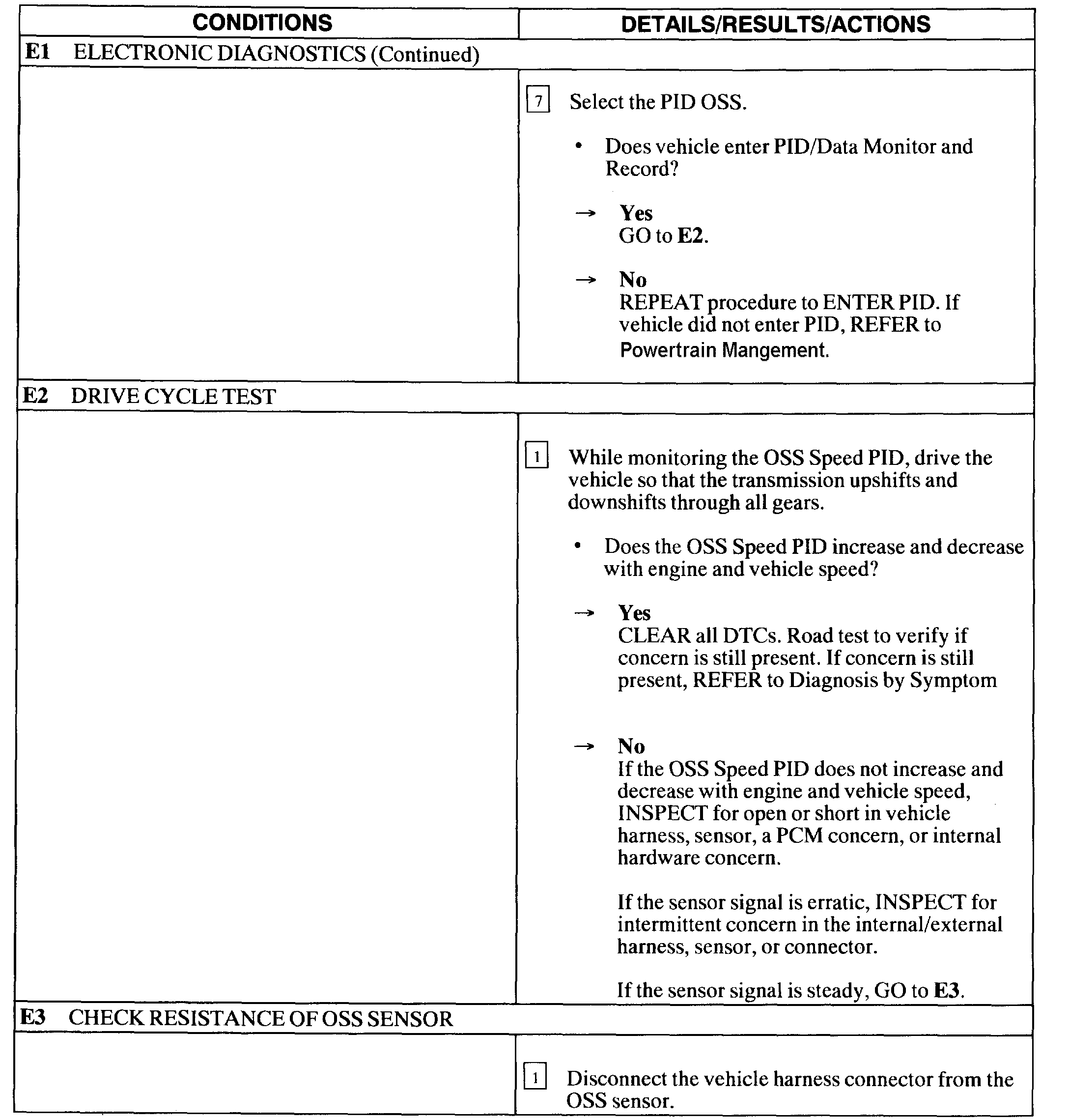
Thank you! The P1131 indicates a lean condition on bank 1, although many parts people want to sell you an O2 sensor, you could actually have a lean condition as indicated. The easiest way to verify this is to look at the fuel trim pids with your scanner (if equipped). The fuel trims for both banks 1,2 should be within 5-7% of 0, long term or short term. Also look at the O2s11 and O2s21 pids to make sure they are switching between 0-1 volt. If you have a sensor that is stuck at 0, just give the intake a shot of carburetor cleaner or brake cleaner and the voltage should spike to 1 volt, if it doesn't then you have a stuck O2 sensor in most cases or rarely a bad circuit. Now the P0720 code is a majority of the time a bad vehicle speed sensor. When you go to disconnect it the connector will likely be full of mercon. At that point sensor replacement is necessary and or connector as well, but sometimes you can get away by just cleaning it with brake clean and blowing it out with compressed air. I have attached the actual pinpoint tests for the P0720 code along with the wire diagram for the vss. Let us know if you have any other questions. The oxygen sensor in question is on the driver side upstream near the flange where the exhaust bolts to the header.
Images (Click to enlarge)
Oct 1, 2019 at 8:28 AM