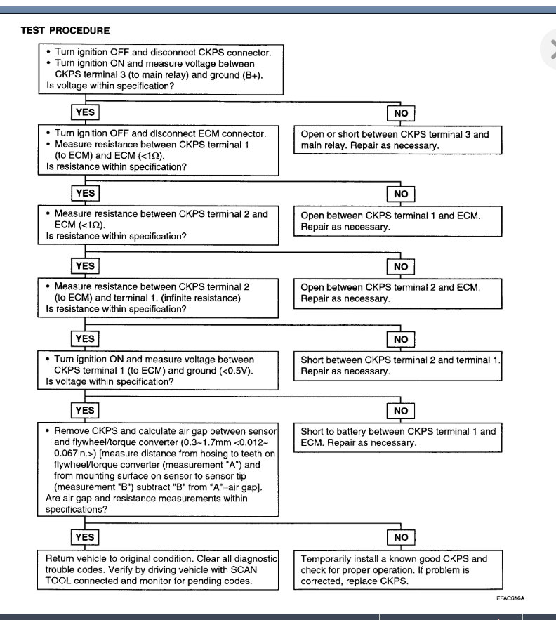
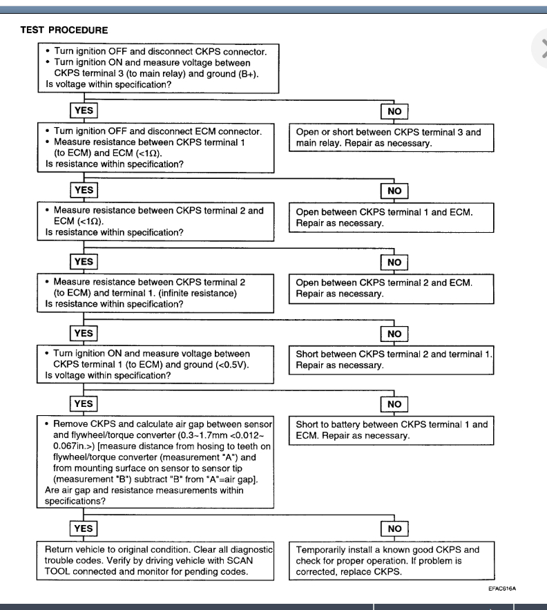
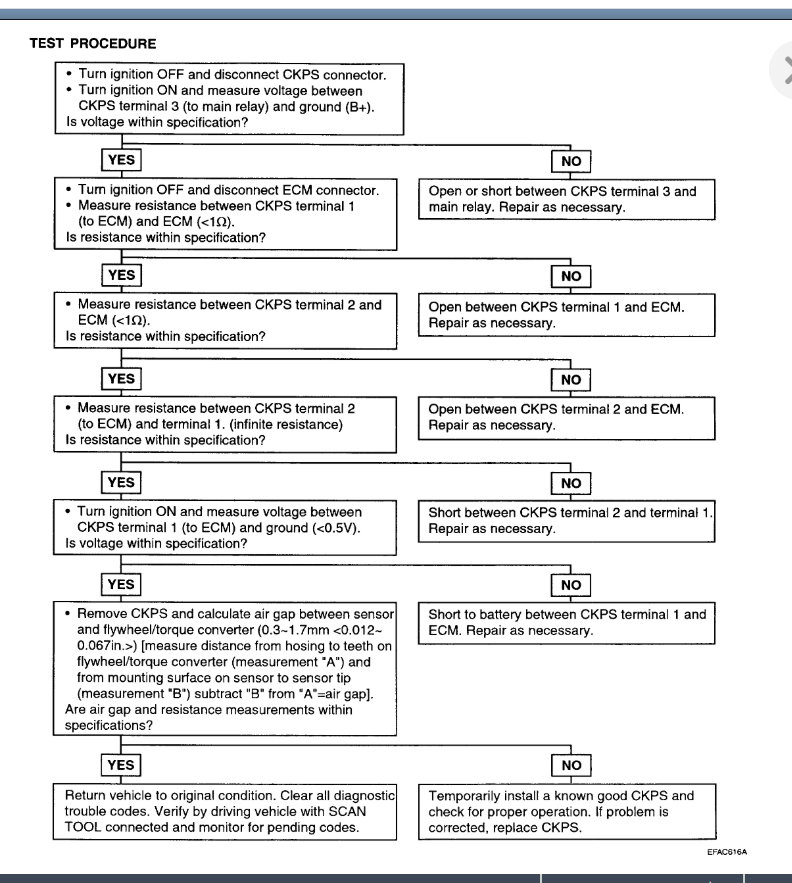
P0335 - Crankshaft position sensor circuit malfunction
P0445 - EVAP Emission Control System Purge Valve Circuit Shorted
P1505 - Idle Charge Actuator Signal Low
P1507 - Idle Charge Actuator Signal Low
Based on what you are seeing these codes could be related. However, I would suggest you chase down the P0335 due to what you saw. I attached the wiring diagrams and testing for this code. Run through this and let me know what you find. Thanks
Images (Click to enlarge)
Jul 12, 2020 at 6:40 PM