Transmission not shifting into second gear and code P0732

2002 HYUNDAI SONATA
243,255 MILES • 2WD • AUTOMATIC
Avatar
BLESSING EWOBOR
  • MEMBER
  • 754 POSTS
The vehicle has been behaving strange, when it is accelerating, it found it difficult to exceed gear 2, whenever is exceed gear 2 to 3, after few seconds it will drop back to 2 and the engine speed will be increasing but not providing good Vehicle speed, at the initial stage there was no codes on its memory but later found P0732. What could be the cause? Can any test be done to know the cause?
Sep 29, 2021 at 6:27 PM
Advertisement
Avatar
JACOBANDNICKOLAS
  • CERTIFIED EXPERT
  • 110,175 POSTS
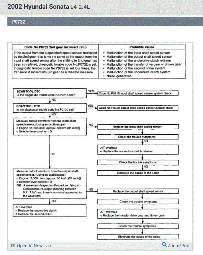
Hi,

The code could indicate a few different things. For example, it could be a faulty input or output speed sensor or even need to be overhauled.

I attached the diagnostics below. Make sure this is the only code present. If other codes are set, they may need attention prior to focusing on the P0732.

Let me know if this helps.

Take care,

Joe

See pic below.
Sep 29, 2021 at 8:28 PM
Avatar
BLESSING EWOBOR
  • MEMBER
  • 754 POSTS
There was no codes initially, the code came up when engaging the gear manually.
Sep 30, 2021 at 6:45 PM
Advertisement
Avatar
BLESSING EWOBOR
  • MEMBER
  • 754 POSTS
Good morning sir, how will someone know if the waveform is correct?
Sep 30, 2021 at 6:50 PM
Avatar
JACOBANDNICKOLAS
  • CERTIFIED EXPERT
  • 110,175 POSTS
Hi,

My manual doesn't show the waveform. Do me a favor. Check the connection at both the input and output speed sensor. Using you live data scanner, see if there is a signal from both.

See pic 1 for sensor location.

Joe

See pic below.
Sep 30, 2021 at 7:05 PM
Avatar
BLESSING EWOBOR
  • MEMBER
  • 754 POSTS
Okay, sir. Thank you sir.
Oct 1, 2021 at 7:18 PM