Transmission will slip into neutral while driving, codes P0401, P0715, P0740, P0401

1997 HONDA ACCORD
189,000 MILES • 2.2L • 4 CYL • 2WD • AUTOMATIC
Avatar
SAVAGEBRAD
  • MEMBER
  • 1 POST
Transmission will shift into gear and then while driving it will eventually slip into neutral and will have to turn the car off and back on to move a couple feet. Then repeat just to move the vehicle. It threw these codes so I thought it might be a TCC solenoid:
Aug 23, 2018 at 6:47 AM
Advertisement
Avatar
JACOBANDNICKOLAS
  • CERTIFIED EXPERT
  • 110,175 POSTS
Hi and thanks for using 2CarPros.com.

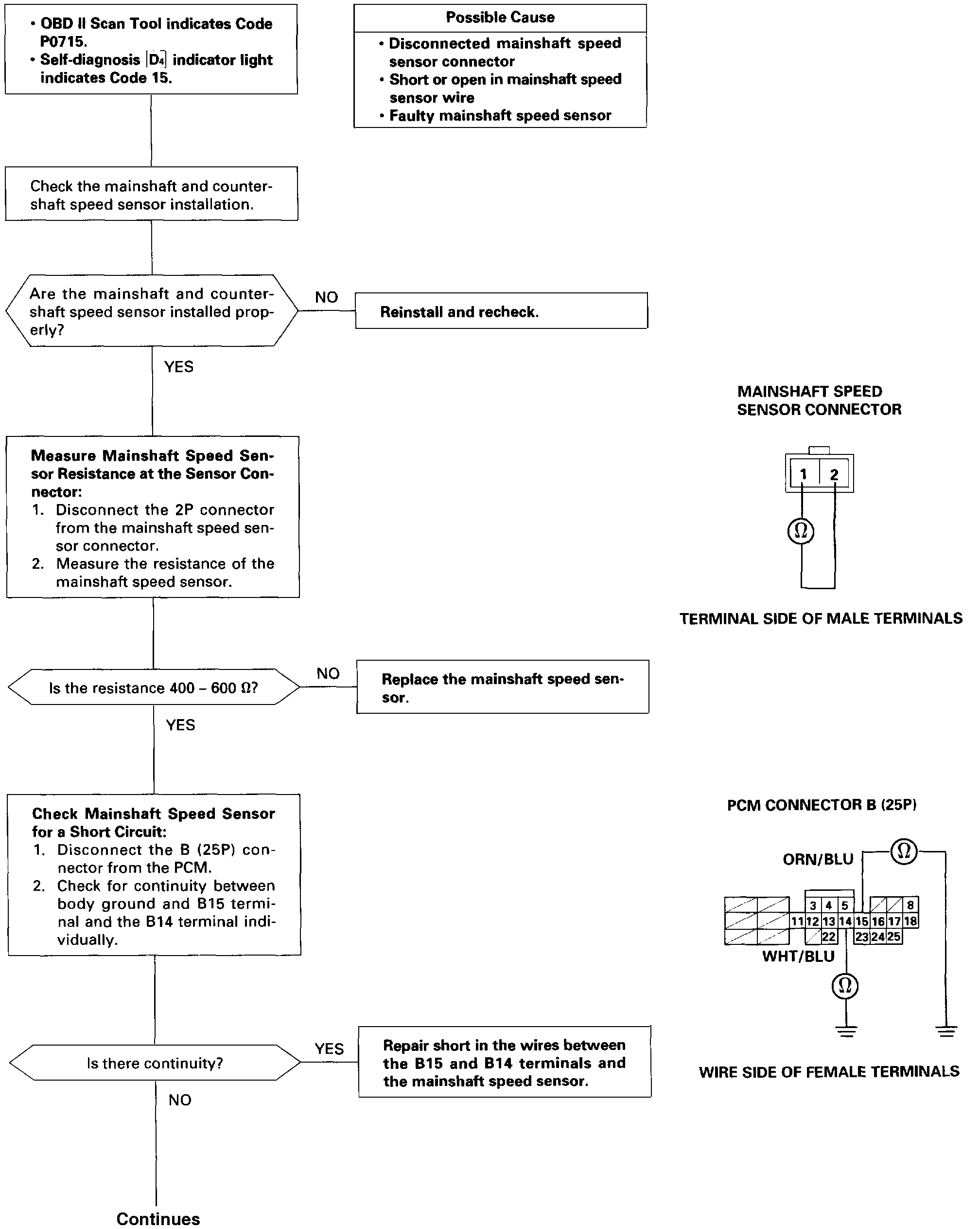
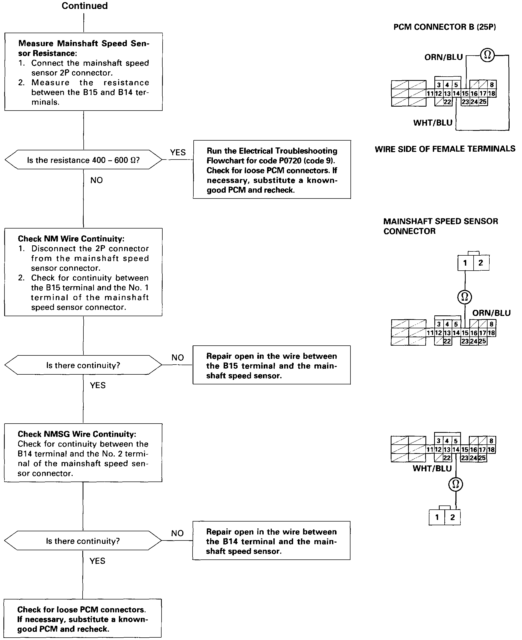
There can be a few problems causing this. The first code, P0715 deals with the main-shift/counter-shaft speed sensor. The first two pictures I attached are a diagnostic flow chart to locate and identify this problem. Please keep in mind, this code does not always mean there is an electrical problem in the main-shaft or counter-shaft speed sensor circuit; it may also indicate a mechanical problem in the transmission. Any problem causing irregular counter-shaft to main-shaft speed difference can cause this code.

A P0401 deals with the EGR so I do not think that has anything to do with your problem.

Code P0740 does deal with the TCC solenoid. I have attached the diagnostic flow chart for that too. It is pictures 3 and 4.

Let me know what you find after reviewing these tests.

Take care,
Joe
Aug 24, 2018 at 6:44 PM