code p1758, temperature sender connector is a one wire one and it crumbled to pieces when I touched it

2000 HONDA CIVIC
160,000 MILES • 0.6L • 4 CYL • 2WD • AUTOMATIC
Avatar
SHANE BURKE
  • MEMBER
  • 1 POST
My temperature sender to the dash connector broke and I can't find a new one and got a one wire thing with a cap that fits on the engine temperature gauge. When I ordered it said not for my car it wasn't starting but when I put it on it does sometimes it doesn't, I pinch the connection and it does. The car has a flashing d4 and is in limp mode. Is this related or not the dash gauge seems to work I replaced the lock up solenoid but still have d4 and limp mode code p1758 is the code I got.
Oct 15, 2021 at 8:59 AM
Advertisement
Avatar
JACOBANDNICKOLAS
  • CERTIFIED EXPERT
  • 110,175 POSTS
Hi,

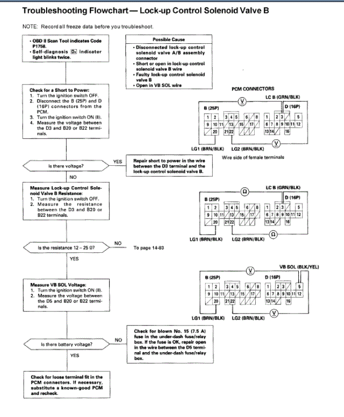
When you say d4, does it show park when you shift to park or do any other gears indicate correctly? As far as the code, it could be the solenoid, or it could be a wiring or other electrical issue. I've attached the diagnostics below for this vehicle. Take a look through them and let me know if you are comfortable performing them.

Also, as far as the sensor, I attached a pic below. There are two. One is for the computer and one for the gauge. Which was replaced? See pic 3

Take care,

Joe

See pics below.
Oct 15, 2021 at 6:02 PM