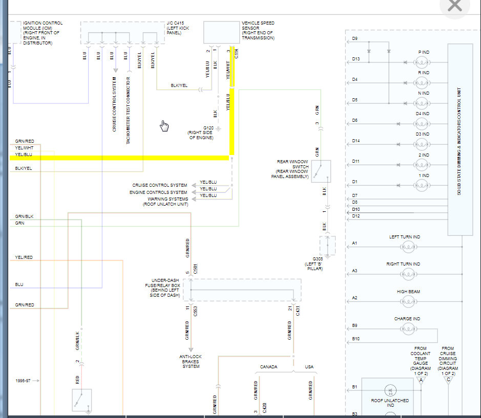
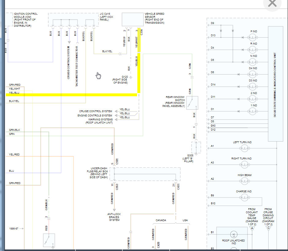
The speedometer was acting crazy, working sometimes, then not. I’ve had a sensor put on, but was told that made no difference. So I was told I need a cluster, everything else in the cluster works, it’s just my speedometer and the miles thingy don’t work. Help
Jun 24, 2020 at 10:46 AM




