Security light on, no start, DRL lights flash repeatedly

2002 SATURN SL2
150,000 MILES • MANUAL
Avatar
AMY PING
  • MEMBER
  • 1 POST
The security light stays on even after trying relearn and car will not start. Now the DRL lights flash repeatedly when trying to start it.
Jan 21, 2019 at 11:35 AM
Advertisement
Avatar
STEVE W.
  • CERTIFIED EXPERT
  • 15,113 POSTS
Sounds like a hard failure in the security system. Either the Passlock sensor or the BCM module has failed. The fastest way to determine which would be with a Tech-2 scan tool that can read the inputs to the system and tell you which one is missing. It could save a lot of work and money.
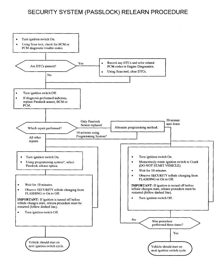
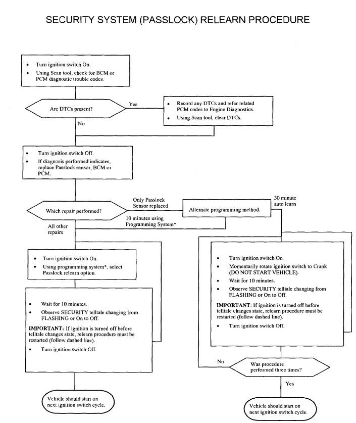
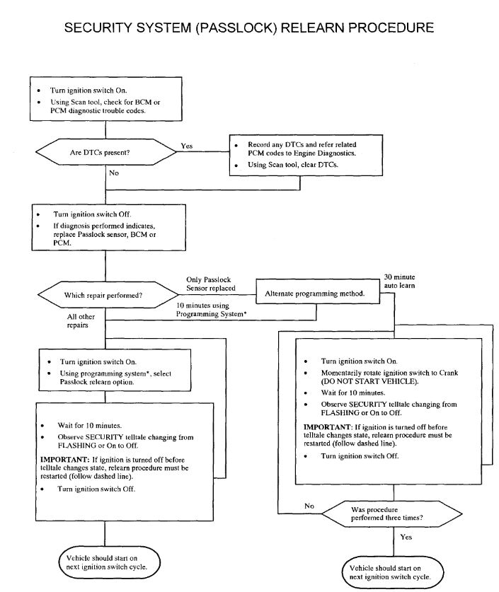
However did you try doing the full relearn three or four times? I have seen it before where it took four times to make it work.

What was the initial issue? Put the key in and the light came on and no start? If yes the common failure is the Passlock sensor itself. Replacing that requires the relearn process only, no scan tool, however the sensor is part of the switch housing and requires much of the steering column be taken apart to change it out. Part is - ACDelco 21060165
I would use a scan tool to verify that this is the issue though as the flashing DRL suggests it may be the BCM that is faulty and not the Passlock module.

Disconnect the battery negative terminal.
Remove the SIR assembly and the steering wheel.
Remove the SIR coil (clock-spring)
Remove lower steering column trim panel. (image 3) Book says to remove the hood latch cable and set the cover out of the way. If you're careful you can just slide it up out of the way.

Remove the multi-function switch assembly (image 4) It bolts to the support/ignition module housing.
Disconnect the ignition switch connector as a precaution. In case there is any stray voltage.
On vehicles with automatic transmissions, disconnect park lock cable from ignition module.

Disconnect pass lock sensor connector from ignition module.

There are two shear bolts that you need to remove, a sharp chisel and hammer are usually all you need to make them loosen. (image 5) Then remove them.
Remove the housing. Reverse the process to install the replacement. Most come with new shear bolts. Just tighten them until the head shears off.
Reconnect everything and then perform the relearn procedure.
Jan 21, 2019 at 10:06 PM