Serpentine belt diagram needed

2008 MERCEDES BENZ CLS63
90,000 MILES • 6.3L • V8 • AUTOMATIC
Avatar
LILTINY247
  • MEMBER
  • 1 POST
I am trying to put the belt on, but i cannot find the right diagram.
Sep 2, 2017 at 1:21 PM
Advertisement
Avatar
JDL
  • CERTIFIED EXPERT
  • 16,098 POSTS
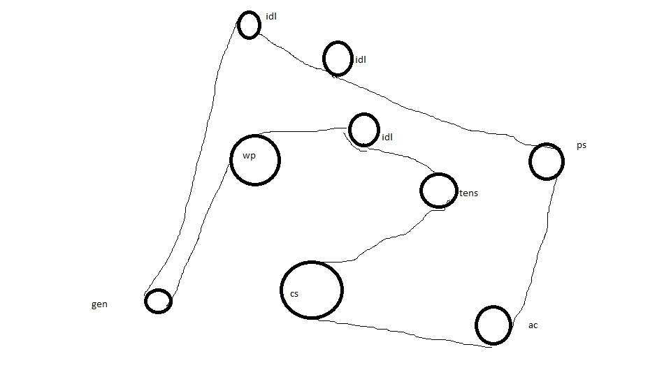
Is this a 6.3L engine? Sometimes there is a belt routing decal, under the hood?
My free-hand is not very good, I labeled the pulleys. I do not know if this is what you have?
I found the belt routing in a tune-up manual, 2008 Mercedes 6.3L engine.
Sep 2, 2017 at 2:39 PM