The car will not start and has a flashing green key icon

1999 ACURA CL
261,000 MILES • 3.0L • 6 CYL • 2WD • AUTOMATIC
Avatar
MARIEHOOD
  • MEMBER
  • 2 POSTS
The engine will turn over but will not start. Also, I do not have a key fob I only have two keys to the car.
Jan 4, 2020 at 8:52 AM
Advertisement
Avatar
KASEKENNY
  • CERTIFIED EXPERT
  • 18,907 POSTS
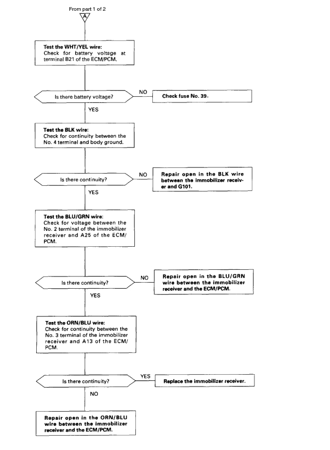
We need to scan for codes to start however, it is telling you with the flashing key that there is an issue there. Normally this means the key is the issue but if you have multiple keys doing the same thing then it could be the immobilizer or another module. I attached the testing that we need to follow to determine what the issue is.

Let me know what you find but I suspect it will be the immobilizer.

https://www.2carpros.com/articles/checking-a-service-engine-soon-or-check-engine-light-on-or-flashing
Jan 4, 2020 at 8:05 PM
Avatar
MARIEHOOD
  • MEMBER
  • 2 POSTS
Believe it or not, all I had to do was connect the battery back up and of course the alarm went off and I simply put the key in the door and locked and unlocked the drivers door and the system reset. I waited a few minutes and tried it and it started right up.
Jan 6, 2020 at 9:24 AM
Advertisement
Avatar
KASEKENNY
  • CERTIFIED EXPERT
  • 18,907 POSTS
Great news. Thanks for the update. Please come back if you have other questions in the future.
Jan 6, 2020 at 7:14 PM