Programming mode

1999 TOYOTA CAMRY SOLARA
200,000 MILES • 3.0L • V6 • 2WD • MANUAL
Avatar
SENNITBIRD
  • MEMBER
  • 1 POST
I cannot get my car listed above to enter programming mode. I have tried the open/close door method as well as the lock/unlock five times approach. Neither seem to work. Next attempt will be to find the ECU and holding the reset button to pair my new key fob.
Apr 6, 2022 at 5:45 AM
Advertisement
Avatar
KASEKENNY
  • CERTIFIED EXPERT
  • 18,907 POSTS
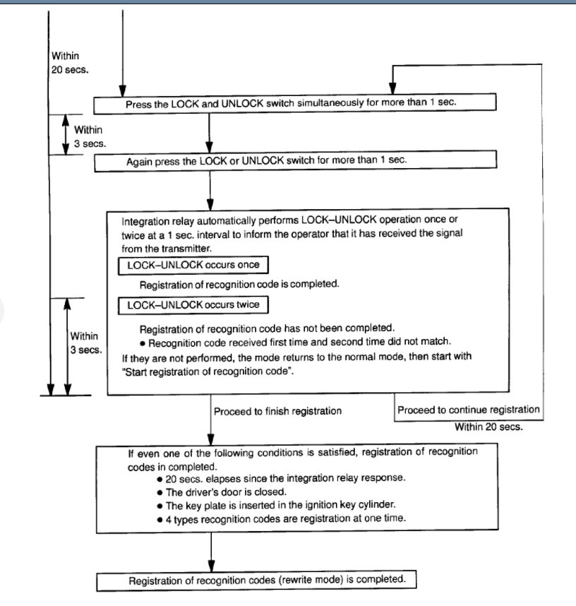
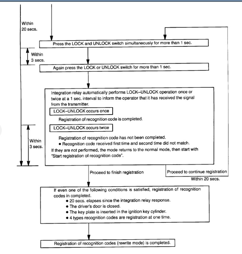
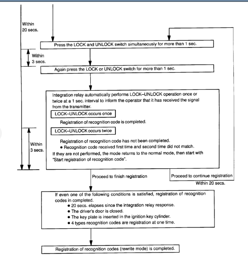
If the transmitter will not program, then this could be an issue with the transmitter but I am attaching the entire process below from the manual because I know these are a little touchy if you don't follow the exact process.

Here is a guide that will help with this as well, but this may be too general for what you are looking for:

https://www.2carpros.com/articles/how-to-re-program-a-key-remote-fob

Please see the info attached and if this does not work then more than likely the receiver is the issue.

Please see the attached and we can go from there.
Apr 6, 2022 at 3:23 PM