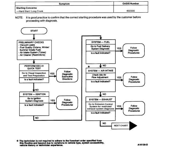
possible PCM issue

1996 FORD F-250
230,000 MILES • 7.5L • V8 • 4WD • MANUAL
Avatar
MORE FOR LES
  • MEMBER
  • 11 POSTS
Sometime doesn't start first time, but has started eventually. sometime engine quit's while driving, does start when it want's eventually. ABS light comes on and goes out randomly.
Mar 7, 2020 at 12:01 PM
Advertisement
Avatar
ASEMASTER6371
  • CERTIFIED EXPERT
  • 52,796 POSTS
Good afternoon.

The ABS has a fault code stored for the anti-lock system. I need those codes to further help with that issue. A parts store will read it for free.

https://www.2carpros.com/articles/abs-warning-light-on-easy-repair-guide

The engine could be low fuel pressure. I would check the actual pressure before assuming anything.

https://www.2carpros.com/articles/how-to-check-fuel-system-pressure-and-regulator

Is the check engine light on with codes?

Roy
Mar 7, 2020 at 1:17 PM
Avatar
MORE FOR LES
  • MEMBER
  • 11 POSTS
No codes on check engine light, truck runs awesome when it's running,after it shut off ,and started back up. I drove it home approximately 25,000, no problem's.I just ran the truck for about 15 minutes with no ABS light coming on, very intermittent.
Mar 7, 2020 at 2:13 PM
Advertisement
Avatar
ASEMASTER6371
  • CERTIFIED EXPERT
  • 52,796 POSTS
Okay, the ABS still has stored faults. I need those faults.

Did you check the fuel pressure as I suggested?

Roy
Mar 7, 2020 at 2:16 PM
Avatar
MORE FOR LES
  • MEMBER
  • 11 POSTS
Just checked fuel pressure on fuel rail. I think it's low as you suspected, does not spray fuel it just kinda runs out.
Mar 7, 2020 at 2:39 PM
Avatar
ASEMASTER6371
  • CERTIFIED EXPERT
  • 52,796 POSTS
There you go. Good find.

https://www.2carpros.com/articles/how-to-replace-an-electric-fuel-pump

Roy
Mar 7, 2020 at 2:54 PM
Avatar
MORE FOR LES
  • MEMBER
  • 11 POSTS
Hey Roy, changed fuel filter,lot's more pressure. took it for a drive two k down the road the ABS light came on.checked fuel pressure seem's like not as much fuel volume. Raining too hard to continue trouble shooting ,Doesn't make a difference which tank i use. any ideas ?
Mar 7, 2020 at 6:23 PM
Avatar
ASEMASTER6371
  • CERTIFIED EXPERT
  • 52,796 POSTS
Check the actual pressure. You will need a gauge.

Again, I need the ABS fault code for that.

Roy
Mar 8, 2020 at 1:19 AM
Avatar
MORE FOR LES
  • MEMBER
  • 11 POSTS
I think the problem is electrical. I originally thought it was the ICM, but when it died i put on my spare ICM ,didn't make a difference,still didn't start.when it did start i tried the other ICM and it started also.like there was no power getting to the ICM.
Mar 9, 2020 at 11:47 AM
Avatar
MORE FOR LES
  • MEMBER
  • 11 POSTS
Me again.I did a pressure test,fuel pressure is around book spec's. I took it for a short drive last night,it shut off but started right back up.it was fine the rest of the way home. Any other ideas?
Mar 9, 2020 at 7:32 PM
Avatar
ASEMASTER6371
  • CERTIFIED EXPERT
  • 52,796 POSTS
Okay. what was the exact pressure?

Roy
Mar 10, 2020 at 2:54 AM
Avatar
MORE FOR LES
  • MEMBER
  • 11 POSTS
32 psi ,when truck is running.
Mar 10, 2020 at 3:06 AM
Avatar
ASEMASTER6371
  • CERTIFIED EXPERT
  • 52,796 POSTS
35-40 pounds is the spec for the pressure.

I think you need a fuel pump.

Roy
Mar 10, 2020 at 3:08 AM
Avatar
MORE FOR LES
  • MEMBER
  • 11 POSTS
Both tank's have a fuel pump. same pressure reading in both tank's. seem's to be more of a ignition problem.Truck does not sputter or starve for fuel,it's more like i'm turning the key off.wondering what would cause the ICM to not have power to it?
Mar 10, 2020 at 11:40 AM
Avatar
ASEMASTER6371
  • CERTIFIED EXPERT
  • 52,796 POSTS
It could be the module or the distributor pick up if it is ignition related.

I would not blow off the pressure so quickly.

How did you verify you have no power to the module?

Roy
Mar 10, 2020 at 1:39 PM
Avatar
MORE FOR LES
  • MEMBER
  • 11 POSTS
to reword things; it'snot the ICM, one time when it shut off i changed the ICM with a good working ICM, still didn't start. this problem has been doing this intermittently for 4 years. I'm not sure if it's possibly the hall effect or maybe a short in the coil or maybe the power-train control module. sometimes it will go for hundred's of kilometer's without any problem's.
Mar 10, 2020 at 5:20 PM
Avatar
ASEMASTER6371
  • CERTIFIED EXPERT
  • 52,796 POSTS
When it does not start, do you have spark and fuel pressure?

Roy

Mar 10, 2020 at 5:28 PM
Avatar
MORE FOR LES
  • MEMBER
  • 11 POSTS
I have no idea, I'm usually in the middle of the road or intersection. i'm just trying to get it to start and get off the road.The last time it shut off it took a couple of minutes before it started. I moved about 100 feet and shut off again,took about 5 minutes before it started again. then it ran good all the way home approximately 25 kilometers.
Mar 10, 2020 at 7:37 PM
Avatar
ASEMASTER6371
  • CERTIFIED EXPERT
  • 52,796 POSTS
That is the time you need to check it for the spark and fuel.

Roy
Mar 10, 2020 at 8:08 PM
Avatar
MORE FOR LES
  • MEMBER
  • 11 POSTS
Supposing there is no spark. what's the diagnosis Doc?
Mar 10, 2020 at 8:28 PM
Avatar
ASEMASTER6371
  • CERTIFIED EXPERT
  • 52,796 POSTS
You will need a test light and test for power on the negative side of the coil. There should be power. Then crank the engine. The test light should flash while cranking.

If it is flashing and you have no spark, you need a coil. If it does not flash, you need an ignition module.

Roy
Mar 11, 2020 at 2:43 AM
Avatar
MORE FOR LES
  • MEMBER
  • 11 POSTS
Well guy's, I have got the truck booked in to the shop for next Thursday. Hopefully they can find the problem. Thank's for your input.I'll let you know if they find the problem for further reference.
Mar 14, 2020 at 11:58 AM
Avatar
STRAILER
  • CERTIFIED EXPERT
  • 53,854 POSTS
Please let us know what you find. We are interested to see what it is.
Mar 14, 2020 at 11:58 AM
Avatar
MORE FOR LES
  • MEMBER
  • 11 POSTS
Sure will, thank's.
Mar 14, 2020 at 12:58 PM
Avatar
ASEMASTER6371
  • CERTIFIED EXPERT
  • 52,796 POSTS
Sorry, we did not nail it down for you.

Keep us updated.

Roy
Mar 14, 2020 at 2:41 PM