No fuel out of fuel injectors?

1988 CHEVROLET 1500
249,000 MILES • 5.0L • V8 • 2WD • AUTOMATIC
Avatar
WLENT007
  • MEMBER
  • 3 POSTS
I have rebuilt the carburetor, and replaced the fuel injectors, yet there is still no fuel coming out of either injector.
Jan 17, 2023 at 3:24 PM
Advertisement
Avatar
WLENT007
  • MEMBER
  • 3 POSTS
We have also replaced the fuel pump and filter.
Jan 17, 2023 at 3:28 PM
Avatar
ALEX STATHAS
  • MEMBER
  • 71 POSTS
How can a pickup truck have both a carburetor and fuel injectors? back in the 1990s I had a car with a carburetor and it was a 1986 Mercury Lynx Wagon and it would not start because it did not have computerized fuel injection to start it automatically without me needing to push down on the gas pedal or accelerator pedal, anyway I have heard that fuel injected GM cars of the 1980s with throttle body fuel injection had electronic control module failure or fuel injection computer failure which would cause them to turn over but not start as if they were out of gasoline, was the throttle body fuel injection computer tested?
Jan 17, 2023 at 3:47 PM
Advertisement
Avatar
JACOBANDNICKOLAS
  • CERTIFIED EXPERT
  • 110,175 POSTS
Hi,

I would be happy to help, but I have to ask a favor. Could you start a new link with your question? We try to keep the threads specific to one type of vehicle, so they are more helpful to others. Just copy and paste your question to a new post. Here is the link to start a new post:

https://www.2carpros.com/questions/new

I hope you understand. Also, please select a vehicle year, make, model, and engine size so we can provide accurate information.

Take care,

Joe
Jan 17, 2023 at 7:34 PM
Avatar
JACOBANDNICKOLAS
  • CERTIFIED EXPERT
  • 110,175 POSTS
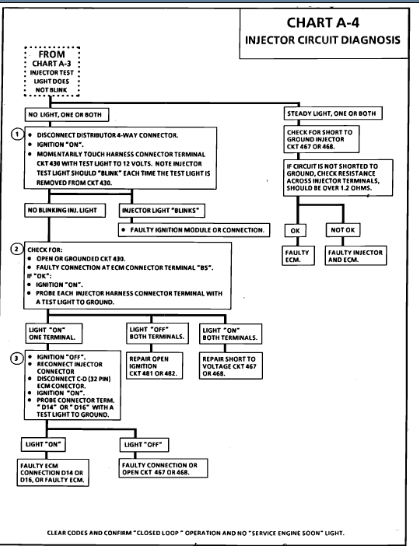
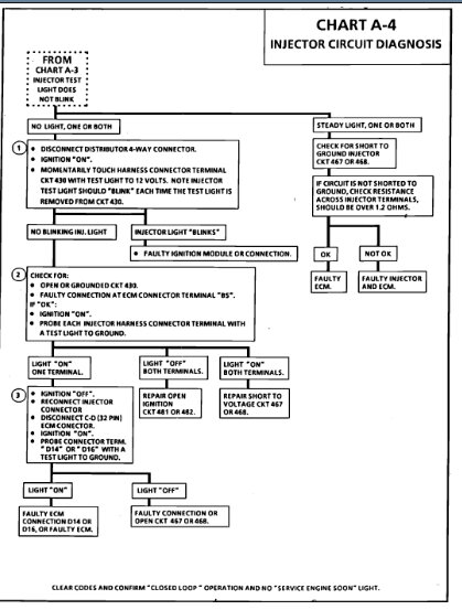
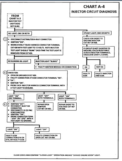
I just realized this link is from two different people. I only saw the last one. As you are aware, it will have either a carburetor or fuel injection. I suspect when you say carburetor you are referring to the throttle body.

I attached an exploded view of the throttle body with injectors. Please confirm that this is what you have.

Next, the throttle body injectors (TBI) are controlled by the engine control module (ECM). We may have a wiring issue, a failing ECM, or even a failed fuse.

Pic 1 below is an exploded view of the TBI and the remaining pics are the diagnostics for the injectors. Take a look through them and let me know if you have questions.

Take care,

Joe

See pics below.

Jan 18, 2023 at 12:52 PM