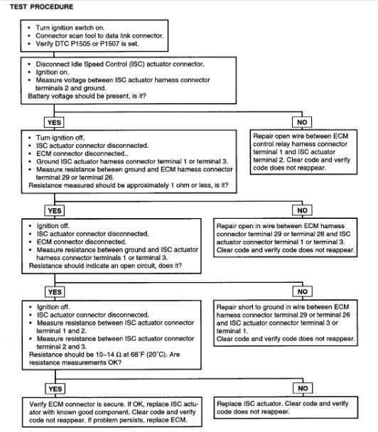
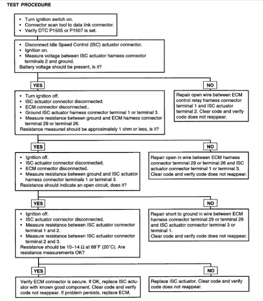
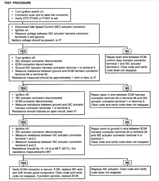
My car has been misfiring when idle or driving but i changed the crankshaft sensor and now it doesn’t misfire when idle but only when driving. I used a scanner and it showed 2 codes which were P1505 and P1507.
May 11, 2024 at 4:22 AM



