Loss of power, irregular missing

1993 TOYOTA PICKUP
250,000 MILES • 4 CYL • 2WD • MANUAL
Avatar
TERMAXCO
  • MEMBER
  • 54 POSTS
22RE engine ---
The engine on my pickup started a bad loss of power irregular missing at any steady engine rpm's, including idle, and it stops missing on any acceleration. I advanced the distributor as far as it would go and the missing stopped and engine ran fine. Plugs and plug wires are new and okay.
I am assuming its the timing chain but would like to know any other possible causes to check for first. Thanks for your help.

(I have not taken valve cover off yet to see if I can tell anything about the timing chain. Bought truck used recently so assuming the faulty plastic timing chains guides have been replaced by now.)
Thank you
Oct 24, 2020 at 3:24 PM
Advertisement
Avatar
TERMAXCO
  • MEMBER
  • 54 POSTS
Also in addition FYI: I do not hear any chain slapping or noise under valve cover). Also Initially replaced TPS but no disconnect or adjustment of it made any changes at all?

Oct 25, 2020 at 11:30 AM
Avatar
JACOBANDNICKOLAS
  • CERTIFIED EXPERT
  • 110,175 POSTS
Hi,

It could be a few things. For example, a partially plugged catalytic converter, an engine vacuum leak, fuel pressure, and so on can cause these types of symptoms.

Do me a favor. before we guessing, scan the computer for diagnostic trouble codes. This vehicle has an OBD1 system and doesn't require a scan tool to get codes. Hopefully, that will point us in the right direction.

Here is a link that explains how it's done:

https://www.2carpros.com/articles/toyota-trouble-code-definitions-and-code-gathering-method-1990-1995

Let me know what you find and I'll look things up from that point.

Take care,
Joe
Oct 25, 2020 at 5:35 PM
Advertisement
Avatar
TERMAXCO
  • MEMBER
  • 54 POSTS
Thanks, will check the codes and get back to you. So, does the fact that when we move the distributor it solves the problem and engine runs fine, not implicate the timing chain or anything particular?
Oct 26, 2020 at 9:21 AM
Avatar
JACOBANDNICKOLAS
  • CERTIFIED EXPERT
  • 110,175 POSTS
Hi,

It could. I'm not sure if you are advancing or retarding the ignition timing. However, if the chain jumped, it wouldn't matter moving the distributor. If it is stretched, you may notice some differences. But keep in mind, when the chain is stretched or jumped, the camshaft and crankshaft are not working together properly.

Another thing that you could try is by removing an O2 sensor before the catalytic converter to see if it changes things. If the converter is plugged, the added release point will be noticeable.


As far as the timing, here is where it should be.

Ignition Timing 10 +/- 2 degrees BTDC

__________________________________

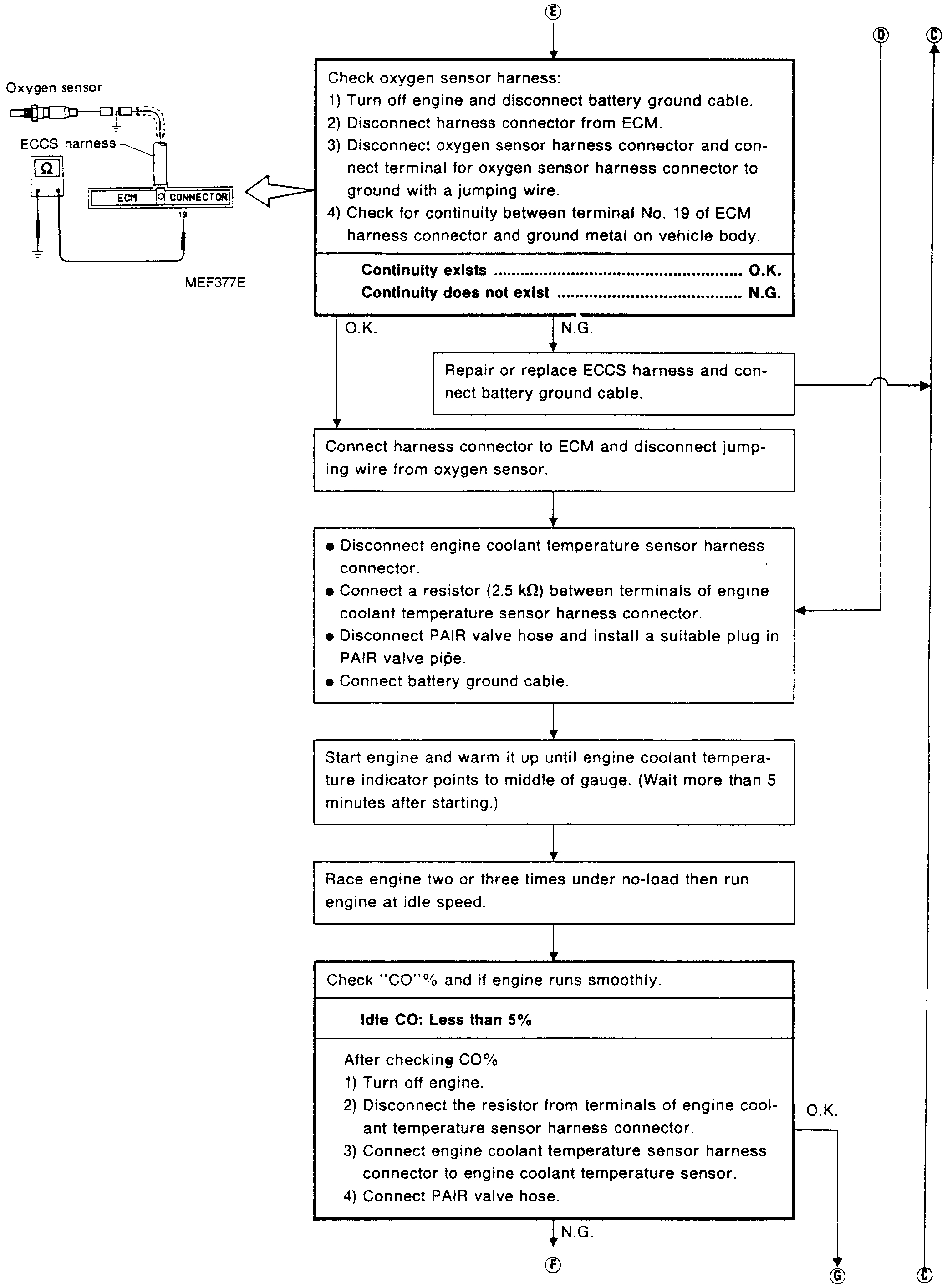
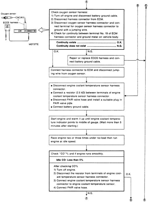
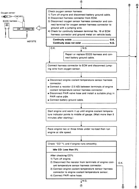
Here is a little more information that may help. The attached pics correlate with the directions. It deals with timing, idle speed, and air fuel ratio adjustment.

__________________________________

1993 Nissan-Datsun Truck D21 Hardbody 2WD L4-2389cc 2.4L SOHC MFI (KA24E)
Idle Speed/Ignition Timing/Idle Mixture Ratio Adjustment
Vehicle Powertrain Management Ignition System Ignition Timing Adjustments Idle Speed/Ignition Timing/Idle Mixture Ratio Adjustment
IDLE SPEED/IGNITION TIMING/IDLE MIXTURE RATIO ADJUSTMENT
IMPORTANT NOTES
- All adjustments must be correct to insure proper operation of the engine control system.
- The air fuel mixture is not adjustable.
- Base idle speed is adjustable.
- Closed loop idle speed is not adjustable.
- Base ignition timing is adjustable.
- Closed loop ignition timing is not adjustable.

PREPARATION
1. Make sure the following parts are in good order:
- Battery
- Ignition System
- Engine oil and coolant level
- Fuses
- ECM harness connector
- Vacuum hoses
- Air intake system (Oil filler cap, oil level gauge, etc.)
- Fuel pressure
- Engine compression
- EGR operation
- Throttle valve
2. On A/C equipped models, checks should be carried out with the system OFF.
3. On A/T equipped models, checks should be done with the transaxle in NEUTRAL.
4. When measuring "CO) percentage, insert probe more than 40 Cm (15.7 in) into tailpipe.
5. Turn off headlamps, heater blower, and rear defogger.
6. Keep front wheels pointed straight ahead.
7. Make the inspection after the radiator fan has stopped.

INSPECTION AND ADJUSTMENT PROCEDURE

Idle Speed/Ignition Timing/Idle Mixture Ratio Inspection (1 Of 4)

pic 1


CHART 1

Idle Speed/Ignition Timing/Idle Mixture Ratio Inspection (2 Of 4)

pic 2


CHART 2

Idle Speed/Ignition Timing/Idle Mixture Ratio Inspection (3 Of 4)

pic 3


CHART 3

Idle Speed/Ignition Timing/Idle Mixture Ratio Inspection (4 Of 4)

pic 4


CHART 4

- Follow the charts from top to bottom.
- Do not skip steps.
- Do not vary from chart direction.

___________________________

Let me know if this helps or if you have other questions.

Take care,
Joe
Oct 26, 2020 at 6:36 PM
Avatar
TERMAXCO
  • MEMBER
  • 54 POSTS
Thanks so much. You are so right. I did not stop to think that a timing chain would get the crank and cam out of sink for which a distributor move would not effect. We also now see that a replacement chain has been installed before son got it. (Silicone)
This is my son's Toyota truck so, not until this weekend did we both get to it. We checked the codes like you suggested and it was code 41 - "throttle position circuit fault".

We checked that we had retarded, not advanced, the timing when we moved the distributor to fix.
So, we did this again - all the distributor would allow - and it started running good again except minor interim cut outs at all RPM's (almost unnoticeable). It's like, if the dist. would allow more retarding, the truck would run perfect - it's very close now.
So, we checked the timing with a light with distributor in original and max retarded position. Could not get a good read. It was jumping all over the place from way too advanced to less advanced back and forth at constant idle. (no tachometer so, we checked it at all idles and with and without the advance terminals shorted)

A complication however, is we had already replaced the throttle position sensor first thing and so we might have caused the 41 code problem ourselves (we have not understood yet how to adjust it so we adjusted it all all points and also disconnected it with no changes at all in engine - that dist. retard fixes). We ran an ohm test on the old one (had to tear it up ) and it appeared to be working on all points IF we figured out how it works.
So, I guess the old TPS could have been bad and the new one is not adjusted so same problem from both? Or, separate original problem and now a new TPS problem we created? Does the codes check just give you one worst problem?

After the 41 code, we did not check any thing else out yet, and we just retarded the distributor again and are thinking to just run it that way to buy some time since, we figured retarding the timing would not burn any pistons etc.? (still jumping and too advanced as best we can check) We read an out of adjustment TPS would prevent setting the timing???
We did read that the factory ECU for these years was bad and would suddenly start advancing the timing too much. And that, retarding the dist. would fix it 50% of the time?
My son said the loss of power/miss happened instantly all at once.
We still take out 02 sensor to check for catalytic converted clogging real quick if you think its still a possible problem.
Hope this helps you help us. Thanks again.
Nov 2, 2020 at 7:33 AM
Avatar
JACOBANDNICKOLAS
  • CERTIFIED EXPERT
  • 110,175 POSTS
Hi,

if the timing is over advanced, you will hear valve ping under a load. As far as having it retarded, that will cause a loss of power.

Do me a favor, Take a look through these diagnostics. They explain what to check when it comes to a 41 (TPS) issue.

___________________________

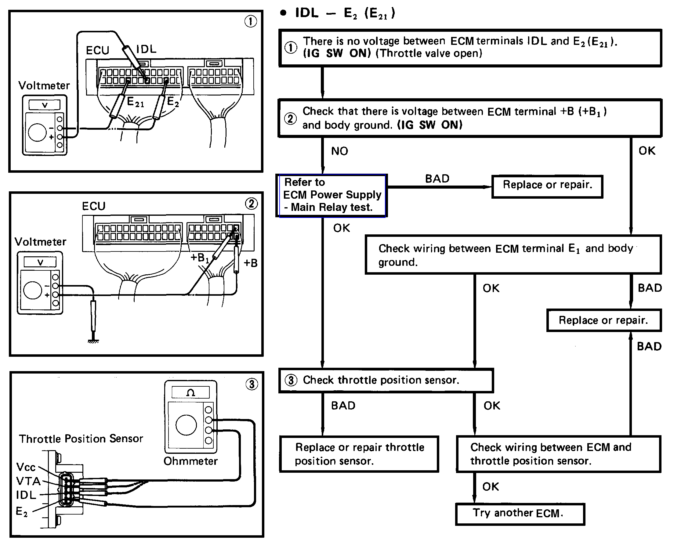
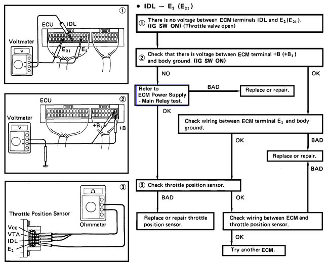
1993 Toyota Truck Pickup 2WD L4-144.4 2366cc 2.4L SOHC (22R-E)
Chart 2
Vehicle Powertrain Management Computers and Control Systems Testing and Inspection Component Tests and General Diagnostics Circuit Test Charts (For Trouble Code Diagnosis) Chart 2
CHART 2
# 2. Throttle Position Sensor


# 2. Throttle Position Sensor (IDL - E2 [E21])

pic 1



Throttle Position Sensor (IDL - E2 [E21])


# 2. Throttle Position Sensor (Vcc - E2 [E21])

pic 2



Throttle Position Sensor (Vcc - E2 [E21])


# 2. Throttle Position Sensor (VTA - E2 [E21)

pic 3


Throttle Position Sensor (VTA - E2 [E21])


# 2. Throttle Position Sensor

pic 4


Wiring Diagram / Condition


___________________

Let me know.

Joe
Nov 2, 2020 at 6:30 PM
Avatar
TERMAXCO
  • MEMBER
  • 54 POSTS
Hi,

RE: Son's 1993 Toyota truck 22RE 4cyl 2.4L engine that you are helping us on.

Sorry for delay, son is just now getting truck to me and I'm just now getting to it.

Background refresh: Truck starts and runs. Runs perfectly good on acceleration, but anytime the throttle and RPM's are kept steady, at any rpm including idle, it loses power and randomly misses and cuts out like crazy. Son said it started happening all at once. We retarded the distributor as far as it would go and it fixed the miss and it ran fine (except for a very slight single miss now and then) for a couple of weeks then it started missing the same with new dist. position. Could not get a good read on timing light. Way advanced and jumping around (son says he hears a pinging but I do not).
Son had already put on new TPS and nothing changed. We do not know how to adjust it. But it did not change anything with TPS at all adjustments and even with its wires disconnected - nothing changed. We took the old TPS apart and it looked OK and continuity checked out on all points so I think it was working.
I checked the codes like you said and it came up TPS circuit fault - code 41. You then suggested the following checks per pics below.

-----------------------------
I guess I'm in over my head: Per your pics I took wires off ECU and stuck multimeter probes into the wire terminals per pics with key on and throttle open on the one required. (pics show the terminals on the bottom row (except for the 2 B's) when hooked up so when remove and turn over terminals from ECU to then face me to get to them, they become the visible top row - right?) For 'body' ground when called for I scraped off the paint on body for good ground on car body.
And I checked all the things from the pics below that you sent and I got no volts or anything from any of them. (it looked like my probes were making contact in the female terminal holes). Checked my multimeter and it did show 12 volts straight from battery so, its working. I must expect the new TPS is good but I got no ohms from TPS ( I did not have anyone yet to move the throttle for me but I expect to get nothing).

As said, looks like I'm in over my head; surely I should have gotten some kind of volt reading on something??? I noticed the pics said try the ECU power supply main relay test maybe? But need to know how on that.

Can anything else not working result in TPS circuit fault code?

Thanks for all your help.
Nov 16, 2020 at 11:30 AM
Avatar
JACOBANDNICKOLAS
  • CERTIFIED EXPERT
  • 110,175 POSTS
Hi,

Good to hear from you. I don't think you are over your head. You are on the right track. As far as the no voltage, the throttle should be open. See if that chances anything.

As far as the ECM power control relay, here are the directions for testing it. I almost feel bad sending this simply because it is more testing, but this is the nature of the beast. Confirm there is power and let me know what you find.

_____________________________________

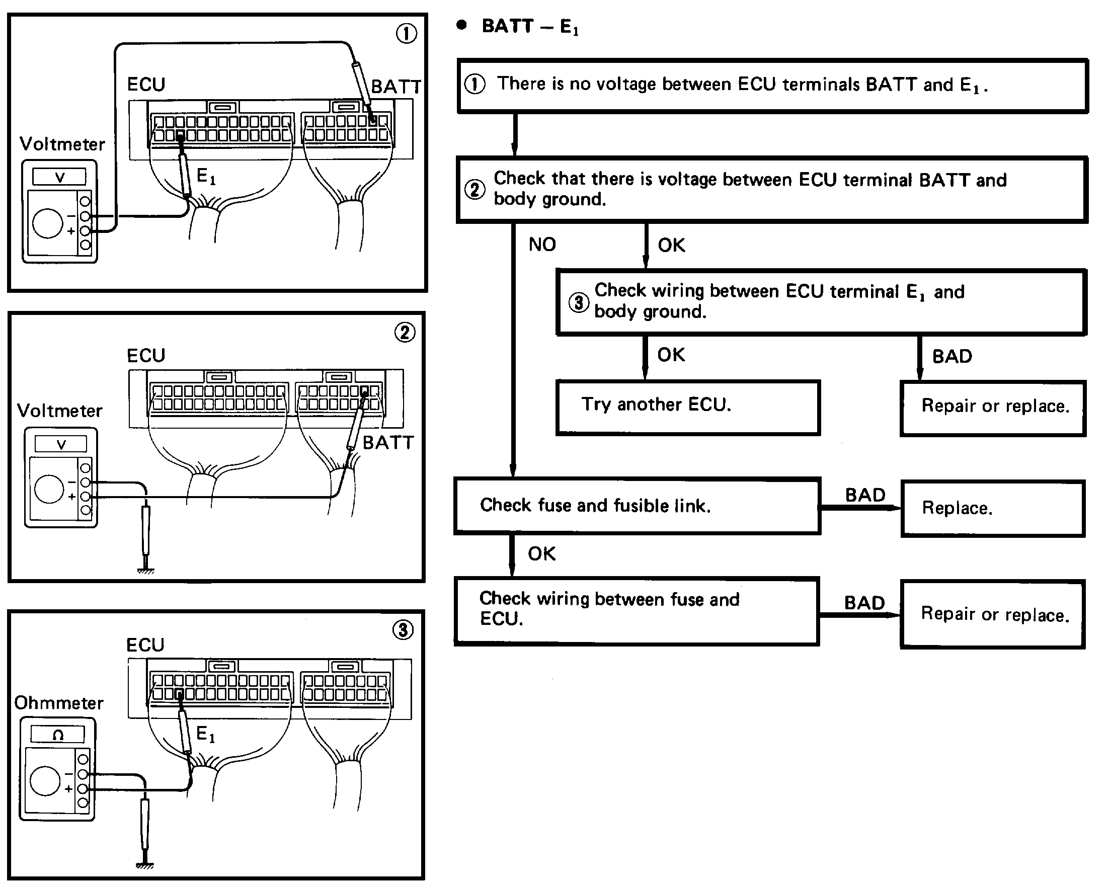
1993 Toyota Truck Pickup 2WD L4-144.4 2366cc 2.4L SOHC (22R-E)
# 1. ECU Power Supply
Vehicle Powertrain Management Relays and Modules - Powertrain Management Relays and Modules - Computers and Control Systems Engine Control Module Testing and Inspection Component Tests and General Diagnostics ECM Power Source Circuit 2 WD # 1. ECU Power Supply
# 1. ECU POWER SUPPLY
# 1. ECU Power Supply / Main Relay


# 1. ECU Power Supply / Main Relay (BATT - E1)

Pic 1


ECU Power Supply / Main Relay (BATT - E1)


# 1. ECU Power Supply / Main Relay (+B [+B1] - E1)

Pic 2


ECU Power Supply / Main Relay (+B [+B1] - E1)


# 1. ECU Power Supply / Main Relay

Pic 3


Wiring Diagram / Condition

________________________

Let me know what you find.

Joe
Nov 16, 2020 at 8:38 PM
Avatar
TERMAXCO
  • MEMBER
  • 54 POSTS
Still no change.
I checked per pics below (both with analog and digital) and I got no volts at all on anything (that is if I am getting the right ones and good connections in those tiny terminal ports (I'm shoving the probes in there?). But, it seems that if I'm getting no volts at all to ECU, then truck would not start or run at all??
So, then (from the black box on the inside fender well of the passenger side) I pulled the "EFI fuse" and it was good; and then, pulled the "EFI" relay and I got continuity between 2 of the poles (but not the other 2 red ones).
(the EFI relay came right out with a slight tug by pliers but when I put it back in and tried to get it out again, it would not come out and so the casing broke very easily. So, I was hoping maybe it was not in good first time so checked all again but still got no volts. How do these relays come out? I can't get it out now or see how they come out? Got to get a new one now.
Feeling pretty bad finding out I can't fix cars anymore - scary.

One more symptom if it helps any: When distributor is back in it's original position the truck seems to be getting worse and now does not want to start due to what sounds like a low struggling battery, but the battery is okay and it does not do it when the distributor is retarded. Something is struggling against itself overcoming the battery power. It also backfires when trying to start at original distributor position and the idle reduces. And the fact that it ran fine when the distributor retarded for a week or so and then started back with the milder symptoms as if retarding it some more would fix it again for a while (but dist. will not retard any further due to limited slot). So, looking like whatever is wrong is something that can get worse? Still does not miss either way on acceleration.

PS: I will have to get out the torch to get the 02 sensor off (if still need to check on bypassing catalytic converter). Bolts rusted down, and on, and someone before us welded the exhaust system together, and on, so may be a while on that if I still need to check this.

PS,PS: I have a 1990 22RE Toyota truck. Will swapping parts with this 1993 help? Can an ECU be swapped?
Thanks again for hanging with me.
Nov 17, 2020 at 8:12 PM
Avatar
JACOBANDNICKOLAS
  • CERTIFIED EXPERT
  • 110,175 POSTS
Hi,

I read through everything. Is it possible for you to record it cranking so I can hear what the starter is doing? You indicated it is struggling against itself. That is usually a timing issue. I should be able to tell by hearing it.

Joe
Nov 18, 2020 at 8:15 PM
Avatar
TERMAXCO
  • MEMBER
  • 54 POSTS
Yes, I can make a recording of that with distributor. in original and also moved position. Will do ASAP.

Yes, I feel like its strictly a timing problem: I just have no clue as to what I call the "idiot" parts vs mechanical parts causing it, viz:

Yes, as the prob. got worse, now the batt and starter drag and engine backfires a little during starting when the distributor is back in original position and does not drag or backfire when its retarded as far as it will go. And retarding the dist. all the way did fix it for a week and now only helps some. (So, its something that is getting worse). The timing light is jumping all over the place and cannot be set; and is way too advanced; Engine accelerates fine but problem is only when throttle is held steady incl. idle. (PS: however, during acceleration without a miss, it still sounds like there is still a loss of actual power but under load truck seems to run fine on acceleration.)

We know the ‘new’ TPS should be good; and we looked at the old one and it was fine. And, it makes no difference as to the problem at any TPS adjustment and even if it is disconnected – The TPS is having no effect whatever on the engine or problem even if it is taken off. Problem occurs only when throttle is in steady “position” if that points to TPS??? But, this type of miss is not usually ‘mechanically’ normal.

So, I'm assuming TPS is not getting any power? But, how can 'no' power be anything that "gets worse"??? I can imagine a timing chain as getting worse and tightening back up on acceleration but that does not make perfect sense either. I hear no slapping noise in chain. The chain has been replaced before we got truck as I see silicone on front of oil pan and no way a 22RE will last 250,000 miles without new timing chain guides.

I bypassed air flow meter and engine quit and no start (I guess that tells us nothing). I bypassed EGR and no change to problem. I haven’t got the 02 sensor off yet due to rust (going to have to cut it off).
Thank you!
Nov 19, 2020 at 8:37 AM
Avatar
JACOBANDNICKOLAS
  • CERTIFIED EXPERT
  • 110,175 POSTS
Hi,

Hang in there. We'll figure it out. I would like to hear the engine cranking. If something is causing the timing to be out enough to change the cranking, I think we are going to need to check the timing chain.

Let me know.
Joe
Nov 19, 2020 at 6:26 PM
Avatar
TERMAXCO
  • MEMBER
  • 54 POSTS
THIS IS EMAIL I FORGOT TO SEND YESTERDAY.  NEW EMAIL FOLLOWING WITH RECORDING FROM TODAY.
Thanks so much.  I'll hang. I have to learn since my old days.   
I'll record it today or tomorrow. 
It started effecting the cranking for sure when it got worse.  As it got worse, the battery or starter cranks OK for a 1/2 a revolution or so, then goes down barely turning the engine (as if low batt or dragging starter) and does that over and over along with backfiring; but, all stops when dist is retarded so batt and starter are OK.   The miss seems to be a "timing" miss as well - Very irregular, all higgledy squigledy, power loss, engine shaking irregularly and too much, etc. as if something is working against itself.    Timing light gone wild and way advanced.
So, I feel that it is a timing issue, and getting worse which indicates mechanical cause. But stumped as to why it accelerates fine???? 
On the other hand, most other causes seems to not likely catch all of the symptoms:  i.e., getting progressively worse, problem began in an instant, acceleration is good.
The TPS may then just be along for the ride.
And, if my elect tests were good, then truck would not start and run at all since not showing any power to ECU, or anything at all; so, might have to assume my tests were flawed.
We'll get it with your help though. Thanks so much again!  

----------------------------------------------------------------------------------------------------------------------------
New email:

Here are the 2 recordings. One with the distributor in moved fully retarded position; The other with the distributor in original position.
I charged the battery overnight to make sure it was peak.
One recording is with the distributor moved and retarded as far as it will go in the slot (about 1/2 inch+).
Truck cranks and starts and revs fine but cuts out some when throttle held steady at any RPM. Last week truck ran fine with hardly any miss in this dist. position. Week before that no miss at all.
The other recording with with distributor in its original position made right after the 1st recording above.

1. Last week truck would start and run as above but very much more miss at steady RPMS.
2. A few days ago, truck would finally start and run very rough but while starting it had regular dragging batt/starter and backfiring (at tailpipe) and bad popping sound at engine per every engine revolution+-. This is what I was hoping to record.
But today, as can hear, its gotten worse and truck did not start. During starting it had worse bad loud ominous popping sounds at engine and engine shake per every engine revolution+-. And there was only one time when the batt/starter dragged struggling to turn engine over. Hope you can hear this one time. (batt. seemed to be cranking better than last week causing more popping.)
As mentioned, my son said the overall problem began suddenly in an instant while driving.
Appears to definitely be a timing issue getting worse overall - and is worse with dist. in original position truck has always had.

https://photos.app.goo.gl/XsopaV6NgmJ7QNBy9
https://photos.app.goo.gl/Ss2WdbSZvjiUAi668

The website wouldn't allow me to add these where it says to add video.
If they wont open, it there an email or phone # I could send them to?
Thank you!
Nov 21, 2020 at 10:11 AM
Avatar
TERMAXCO
  • MEMBER
  • 54 POSTS
Here are the 2 recordings. One with distributor in moved fully retarded position; and the with distributor in original position.
I charged the battery overnight to make sure it was peak.
One recording is with the distributor moved and retarded as far as it will go in the slot (about 1/2 inch+).
Truck cranks and starts and revs fine but cuts out some when throttle held steady at any RPM. Last week truck ran fine with hardly any miss in this dist. position. Week before that no miss at all.
2nd recording: This 2nd recording with with distributor in its original position made right after the 1st recording above.

1. Last week truck would start and run as above but very much more miss at steady RPMS.
2. A few days ago, truck would finally start and run very rough but while starting it had regular dragging batt/starter and backfiring (at tailpipe) and bad popping sound at engine per every engine revolution+-. This is what I was hoping to record.
But today, as can hear, its gotten worse and truck did not start. During starting it had worse bad loud ominous popping sounds at engine and engine shake per every engine revolution+-. And there was only one time when the batt/starter dragged struggling to turn engine over. Hope you can hear this one time. (batt. seemed to be cranking better than last week causing more popping.)
As mentioned, my son said the overall problem began suddenly in an instant while driving.
Appears to definitely be a timing issue getting worse overall - and is worse with dist. in original position truck has always had.

https://photos.app.goo.gl/XsopaV6NgmJ7QNBy9
https://photos.app.goo.gl/Ss2WdbSZvjiUAi66

If these two links will not open, is there an email I can send them to or a phone number?
The website won't let me attach them where it says to add video
Thank you!
Nov 21, 2020 at 10:20 AM
Avatar
TERMAXCO
  • MEMBER
  • 54 POSTS
One more question, I have the computer sitting on the floorboard, it's connected but just want to be sure it doesn't have to be in it's proper location to work. Also I don't see the last email I sent with the recordings I did, that you requested. Can you tell me if that came through?
Thank you!
Nov 21, 2020 at 6:27 PM
Avatar
JACOBANDNICKOLAS
  • CERTIFIED EXPERT
  • 110,175 POSTS
Hi,

I didn't get the video. I'm not sure why or what happened.

As far s the computer, as long as it's properly connected. It shouldn't require grounding where it mounts.

Joe
Nov 21, 2020 at 9:02 PM
Avatar
TERMAXCO
  • MEMBER
  • 54 POSTS
Here are 2 emails that did not go through, I will trying sending the recording separately:
Email 1:
Thanks so much.  I'll hang. I have to learn since my old days.   
I'll record it today or tomorrow. 
It started effecting the cranking for sure when it got worse.  As it got worse, the battery or starter cranks okay for a 1/2 a revolution or so, then goes down barely turning the engine (as if low battery or dragging starter) and does that over and over along with backfiring; but, all stops when distributer is retarded so batt and starter are okay .   The miss seems to be a "timing" miss as well - Very irregular, all higgledy squigledy, power loss, engine shaking irregularly and too much, etc., as if something is working against itself.    Timing light gone wild and way advanced.
So, I feel that it is a timing issue, and getting worse which indicates mechanical cause. But stumped as to why it accelerates fine???? 
On the other hand, most other causes seems to not likely catch all of the symptoms:  i.e., getting progressively worse, problem began in an instant, acceleration is good.
The TPS may then just be along for the ride.
And, if my elect tests were good, then truck would not start and run at all since not showing any power to ECU, or anything at all; so, might have to assume my tests were flawed.
We'll get it with your help though. Thanks so much again!  
____________________________________________________________
Email 2:

Here are the 2 recordings. (Sending separately) 1st with distributor in moved fully retarded position; 2nd with dist. in original position.
I charged the battery overnight to make sure it was peak.
1st recording: The first recording is with the distributor moved and retarded as far as it will go in the slot (about 1/2 inch+).
Truck cranks and starts and revs fine but cuts out some when throttle held steady at any RPM. Last week truck ran fine with hardly any miss in this dist. position. Week before that no miss at all.
2nd recording: This 2nd recording with with distributor in its original position made right after the 1st recording above.

1. Last week truck would start and run as above but very much more miss at steady RPM's.
2. A few days ago, truck would finally start and run very rough but while starting it had regular dragging batt/starter and backfiring (at tailpipe) and bad popping sound at engine per every engine revolution+-. This is what I was hoping to record.
But today, as can hear, its gotten worse and truck did not start. During starting it had worse bad loud ominous popping sounds at engine and engine shake per every engine revolution+-. And there was only one time when the battery/starter dragged struggling to turn engine over. Hope you can hear this one time. (battery seemed to be cranking better than last week causing more popping.)
As mentioned, my son said the overall problem began suddenly in an instant while driving.
Appears to definitely be a timing issue getting worse overall - and is worse with dist. in original position truck has always had.

Nov 22, 2020 at 1:58 PM
Avatar
TERMAXCO
  • MEMBER
  • 54 POSTS
Here is one recording, sending other separately since they are large files.
Nov 22, 2020 at 2:02 PM
Avatar
TERMAXCO
  • MEMBER
  • 54 POSTS
Here is 2nd video recording of toyota truck. Let me know if I send same video twice.
thank you!
Nov 22, 2020 at 2:06 PM
Avatar
JACOBANDNICKOLAS
  • CERTIFIED EXPERT
  • 110,175 POSTS
Hi,

It sounds like a timing issue. If you put a timing light on it, where does it show firing on cylinder 1? For example, if the timing is retarded, does it fire after TDC? I'm trying to see if something other has happened, but it does seem to be a timing issue.

Did you pull the distributor to inspect the gear? Did you check the cap for cracks? You may have done all of these already.

Let me know.
Joe
Nov 22, 2020 at 8:10 PM
Avatar
TERMAXCO
  • MEMBER
  • 54 POSTS
Thanks.
 
Yes, it sounds like timing to me; and, might we have double symptoms?  One that shows up per spark timing due to crank and distributor being out of sync and the other simultaneous one due to crank and valve cam out of syns?   But would a loose chain put the distributor behind the crank rotation showing a retarded spark timing (assuming there is no crank sensor to follow only the crank)? But we saw only too advanced timing, viz:
When we put a timing light on #1 cylinder, it fired intermittently and jumped around all over the place but always way too advanced before TDC and before the engine timing marks at any idle speed - The timing light advance was some less when I retarded the distributor, but it was still too advanced before TDC.(still showing before the engine timing marks). Usually before the engine timing marks and, never at or after TDC. (at original dist position, it won't really start anymore as its getting worse.)
(We were thinking the intermittent light may be a bad connection??). Of course, when rev up engine it goes way further counter clockwise down the balancer circle before TDC.
So, looks like timing never actually gets retarded and stays too advanced. I assumed the dist. gear and coil etc. were okay since engine revs up so good under load or not (can put it in first gear, stomp on it, and it jumps and goes till hold RPM's steady, then it goes crazy).
I pulled the distributor cap anyway and didn't see any cracks in cap.  Rotor and terminals appeared to be a little dirty so cleaned them but it made no improvement or difference. Wires and plugs were already new.  There's nothing much else in the distributor to inspect (I'm still only used to points, condenser, and cams in there).
I wonder why it revs up/accelerates good? And what would get progressively worse?
Thanks!
Nov 23, 2020 at 12:57 PM
Avatar
JACOBANDNICKOLAS
  • CERTIFIED EXPERT
  • 110,175 POSTS
If the timing is jumping all over the place, it sounds like a distributor issue. Also, since you can't retard the timing, that leads me to believe the distributor is one tooth off. That may have been caused by a bad tooth on the distributor gear. Also, the idea that it's too far advanced makes sense that it would kick the engine back when cranking.

I need you to remove the distributor. Before you do that, make sure there isn't excessive play in the rotor.

Before you remove the distributor, place the crankshaft so the timing marks are at top dead center (TDC). Remove the cap and note the position of the rotor to help you remember when putting it back together.

Next, remove the lock bolt and remove the distributor. Inspect the gear, play between the gear and the shaft at top, and look into the engine where it engages to confirm nothing is damaged.

When you reinstall, confirm the crank is still pointing at TDC. Then carefully install the distributor so that the rotor is pointing to the number 1 sparkplug wire in the distributor cap.

The idea that timing is jumping all over the place leads me to believe that it is something with the distributor itself. If the timing chain was that bad, I feel you would hear it. If you replaced the rotor, make sure it is fully seated and the correct one was provided. Check for play between the gear and where the rotor attaches. Something is allowing it to jump around.

I attached a pic below of the firing order. Let me know what you find.

Joe
Nov 23, 2020 at 9:05 PM
Avatar
TERMAXCO
  • MEMBER
  • 54 POSTS
Sorry for another delay in getting back to you.

We left off with me checking the distributor. In checking it just now, I noticed the shaft was not loose (less than 1/16th rotation movement with no end play). I noticed the rotor cap was fairly tight but it could be force moved about ¼- inch at its end. Which, is not right but don’t think it is moving around on its own (Or might explain the timing jumping.)

Found something right off before taking distributor out so checking with you first:
At number 1 cylinder compression stroke TDC, the dist. rotor was way past the No. 1 cylinder distributor cap terminal matching the timing light showing way too much advance.

When the distributor is retarded as far as it will go (like we had it when it ran better) the rotor is back closer to the number 1 cylinder terminal at TDC as the timing light showed less advance (but still too much).

(I double checked with my own 91 Toyota truck 22 RE and its rotor was way less advanced past number 1 terminal at TDC (pretty much right on it)).

So, it does appear to be mechanical. Distributor gear tooth skip or timing chain?
I guess I should take off valve cover and look in there?

Still wonder why we are getting a TPS circuit fault diagnosis from truck? 2 problems? I still wonder why still got a TPS circuit fault code? Or could it show up when timing is not right?

Thanks!

Dec 2, 2020 at 6:48 PM
Avatar
JACOBANDNICKOLAS
  • CERTIFIED EXPERT
  • 110,175 POSTS
Hi,

Before taking the cover off, remove the distributor, inspect it, and then reinstall it setting the timing correctly.

Here are the directions. Try this and see if it takes care of the issues.

______________________________________

1993 Toyota Truck Pickup 2WD L4-144.4 2366cc 2.4L SOHC (22R-E)
Procedures
Vehicle Powertrain Management Ignition System Distributor Service and Repair Procedures
PROCEDURES
REMOVAL:

1. Disconnect negative battery terminal.
2. Disconnect primary distributor connector.
3. Remove distributor cap retaining screws, distributor cap and spark plug wires.
4. Remove hold down bolt and remove distributor.

INSTALLATION:

1. Install a new O-ring to the distributor housing and apply a light coat of engine oil prior to installation.

Distributor Installation Timing Marks

pic 1


2. Turn crankshaft pulley until the timing mark is aligned with 5° BTDC mark.
3. Ensure rockers on cylinder #1 are loose. If not, rotate crankshaft 1 full turn and re-align timing marks.

Distributor Rotor Alignment

pic 2


4. Install distributor rotor. Begin insertion of the distributor with rotor pointing upward and mounting hole centered with bolt hole.
5. Install distributor hold down bolt and tighten by hand. Remove rotor.

Crankshaft Position Sensor Showing Signal Rotor Alignment

pic 3


6. Align the signal rotor tooth with pickup coil projection.
7. Torque distributor hold down bolt.

Torque: 19 Nm (14 ft.lb)

8. Install rotor and distributor cap with spark plug wires.
9. Reconnect primary distributor connector and negative battery terminal.

Firing Order: 1 - 3 - 4 - 2

10. Warm engine up to operating temperature and adjust ignition timing. See: Ignition Timing > Adjustments > Ignition Timing

Let me know what you find.

Joe
Dec 2, 2020 at 8:13 PM
Avatar
TERMAXCO
  • MEMBER
  • 54 POSTS
Hi, thanks. I pulled distributor shaft back and put it back in per one tooth over (back counterclockwise) and this put the rotor at the exact right position (and matches my other truck). So, started truck and it seemed to run good.
I may not be good at setting timing but did it according to info and my light was still intermittent and it jumped around some still but not as much as it was jumping. I had to retard distributor from original position (we had marked) to get the timing to jump around the right 5 degree mark. RPM's were reduced. With distributor back in original position, it showed too much advance.
It all sounded like it fixed the problem and I thought all was fine (and its almost right now) but when drove truck under load it had insufficient power (the kind that runs smooth but sounds like a deep sucking sound instead of truck going good) and had a slight irregular cut out. So, put distributor back to original position (which is a little bit back from maximum rpms per advance) and the truck ran better but still under powered and missing some.
My bads: 1. When I saw the distributor go in right position one tooth over, I got hopeful and then forgot to pull dist. all the way out to check the gears over? Should I pull it back out and check?

2. Old geizer forgot and left the wrench on the crankshaft pulley shaft when started the truck and it took the crank shaft pulley bolt off. I have it back on but not fully torqued (can't remember how I locked up engine to do this?) in case that might cause the bad running engine (assuming not).

I'm assuming moving rotor is tight enough not to be moving on its own?
So, I haven't got a clue now or what would cause a distributor to skip a tooth or did it? Are we chasing the timing chain?

I did hear a noise in engine top or front but it wasn't exactly a slapping and it has now stopped.

Dec 3, 2020 at 1:54 PM
Avatar
JACOBANDNICKOLAS
  • CERTIFIED EXPERT
  • 110,175 POSTS
It is possible. However, the sound you heard when under a load, are you sure there are no vacuum leaks at the air box, air intake tube, or where it attaches to the throttle body?

Also, I'm starting to wonder if the catalytic converter is possibly partially plugged. Is there a chance you could remove a pre-cat O2 sensor to see if makes a power difference? Also, has engine compression been checked?



Let me know.
Joe
Dec 3, 2020 at 8:20 PM
Avatar
TERMAXCO
  • MEMBER
  • 54 POSTS
Compression is good. Hoses and connections etc. are good with no vacuum leaks.
I thought the new symptoms seemed like a clog, but son said initial problem happened instantly and the truck accelerated great with no miss and full power to wheels at initial problem (i.e., major cut out at holding rpms steady). And accelerated good after son put new unadjusted TPS on.

I can loosen or take exhaust off at engine since all is rusted and welded if that will work to test.

The "sucking" sound was not accurate, sorry. It's that throaty exhaust low power struggling sound. i.e., engine running smooth and increasing in rpms correctly but truck is just not going down the road like it should and you get that throaty struggling sound from the exhaust - engine racing but power just not going to wheels. And this new low power, and the low rough idle (idle can't be increased anymore at idle screw) and slight cut outs, a little hesitation and almost stalling at idle and take off, etc. are new different symptoms so, don't know yet if still timing caused or another problem of something else entirely (I read they are TPS symptoms). How did dist. with no play in gears, get one gear off or did it? or did something else skip? I do have a loose rotor if forced but still assuming its tight enough not to move on its own?
Thanks
Dec 4, 2020 at 11:58 AM
Avatar
JACOBANDNICKOLAS
  • CERTIFIED EXPERT
  • 110,175 POSTS
Hi,

Yes, removal of the system would work, but that's a lot of work. Are you able to just remove an oxygen sensor before the catalytic converter? It won't be perfect, but if the converter is plugged, you should notice a difference.

Let me know. As far as the rotor, it shouldn't turn on the shaft. It should be keyed in place.

Let me know.

Take care,
Joe
Dec 4, 2020 at 8:47 PM
Avatar
TERMAXCO
  • MEMBER
  • 54 POSTS
I am unable to remove 02 sensor without twisting the welded bolts off. The 02 sensor nuts are rusted down tight to where no wrench will fit and no room for vice grips and they did just slipped on rusted nuts. Moreover, somebody welded the whole system to itself including the mounts. But will check for a clog by loosening at engine (unless that causes some other sensor to create another problem?? Let me know if taking the exhaust loose at engine will cause another problem. thanks). If not, this will check for a clog.
But, I'm thinking the instant problem (we now know is a timing problem) while truck was still accelerating good afterwards means there is no instant clog that is only showing up now. And we still don't know the cause of the timing problem. I guess I'll just take it all apart and see if the chain skipped and go ahead and replace it. Its got to be something mechanical messed up. Maybe that will solve the new low power too or at least get it down to one problem.
Rotor has a flat spot to match the flat spot on distributor shaft to keep it steady. But in this case, I can, with minor force, move the rotor about 1/4 inch when measuring at the tip of its radius length but, it seems to be tight enough not to move on its own but, I will replace that first to make sure.
I also busted the plastic case of (what I think is) the main relay to ECU. For now I just taped it up. Please let me know if you think that might cause the new problem?
Thanks
Dec 5, 2020 at 5:22 PM
Avatar
JACOBANDNICKOLAS
  • CERTIFIED EXPERT
  • 110,175 POSTS
Hi,

I would replace the rotor if it is moving. Also, disconnecting the exhaust won't hurt anything for testing. However, I'm leaning towards your thoughts as far as how would it be plugged one minute and not the next.

If you decide to put the chain on, here are the directions. The attached pics correlate with the directions.

__________________________________________

1993 Toyota Truck Pickup 2WD L4-144.4 2366cc 2.4L SOHC (22R-E)
Procedures
Vehicle Engine, Cooling and Exhaust Engine Timing Components Timing Chain Service and Repair Procedures
PROCEDURES

pic 1



PREPARATION FOR REMOVAL OF TIMING CHAIN
1. REMOVE CYLINDER HEAD
2. REMOVE RADIATOR
3. 4WD: REMOVE FRONT DIFFERENTIAL
4. REMOVE OIL PAN
(a) Remove the engine undercover.
(b) Remove the engine mounting bolts.
(c) 2WD: Place a jack under the transmission and raise the engine approx. 25 mm (0.98 in.)
(d) Remove the 16 bolts and 2 nuts.


pic 2


(e) Using SST and brass bar, separate the oil pan from the cylinder block.
SST 09032-00100

HINT: When removing the oil pan, be careful not to damage the oil pan flange.


TIMING CHAIN REMOVAL
1. with PS: REMOVE PS BELT
2. with A/C: REMOVE A/C BELT, COMPRESSOR AND BRACKET


pic 3


3. REMOVE FLUID COUPLING WITH FAN AND WATER PUMP PULLEY
(a) Loosen the water pump pulley set bolts.
(b) Loosen the belt adjusting bolt and pivot bolt of the generator, and remove the drive belt.
(c) Remove the set nuts, fluid coupling with fan and water pump pulley.

4. REMOVE CRANKSHAFT PULLEY
(a) with A/C (without Air pump) or with PS (with Air pump): Remove the No.2 crankshaft pulley.


pic 4


(b) Using SST to hold the crankshaft pulley, loosen the pulley bolt.
SST 09213-70010,09330-00021


pic 5


(c) Using SST, remove the crankshaft pulley.
SST 09950-50010


pic 6


5. REMOVE NO.1 WATER BYPASS PIPE
Remove the 2 bolts and pipe.


pic 7

6. REMOVE FAN BELT ADJUSTING BAR
(a) With PS: Remove the bolt and PS lower bracket.
(b) Remove the 3 bolts and bar.


pic 8


7. DISCONNECT HEATER WATER OUTLET PIPE
Remove the 2 bolts, and disconnect heater water outlet pipe.


pic 9


8. REMOVE CHAIN COVER ASSEMBLY
(a) Remove timing chain cover bolts shown by the arrows.
(b) Using a plastic faced hammer, loosen the chain cover and remove it.


pic 10



9. REMOVE CHAIN AND CAMSHAFT SPROCKET
(a) Remove the chain from the damper.
(b) Remove the cam sprocket and chain together.


pic 11


10. REMOVE PUMP DRIVE SPLINE AND CRANKSHAFT SPROCKET
If the oil pump drive spline and sprocket cannot be removed by hand. use SST to remove them together.
SST 09950-40010
11. REMOVE GASKET MATERIAL ON CYLINDER BLOCK


COMPONENTS INSPECTION
1. MEASURE CHAIN AND SPROCKET WEAR


pic 12


(a) Measure the length of 17 links with the chain fully stretched.
(b) Make the same measurements at least 3 other places selected at random.

Chain elongation limit at 17 links: 147.0 mm (5.787 in.)

If over the limit at any one place, replace the chain.


pic 13


(c) Wrap the chain around the sprocket.
(d) Using a caliper gauge, measure the outer sides of the chain rollers as shown. Measure both sprockets.

Minimum crankshaft sprocket: 59.4 mm (2.339 in.)
Minimum crankshaft sprocket: 113.8 mm (4.480 in.)

If the measurement is less than minimum, replace the chain and 2 sprockets.


pic 14


2. MEASURE CHAIN TENSIONER
Using a caliper gauge, measure the tensioner as shown.

Minimum tensioner: 11.0 mm (0.433 in.)

If the tensioner is worn or less than minimum, replace the chain tensioner.


pic 15


3. MEASURE CHAIN DAMPERS
Using a micrometer, measure each damper.

Limit damper wear: 0.5 mm (0.020 in.)

If either damper is worn or less than minimum, replace the damper.


TIMING CHAIN INSTALLATION

pic 16


1. INSTALL CRANKSHAFT SPROCKET AND CHAIN
(a) Turn the crankshaft until the shaft key is on top.
(b) Slide the sprocket over the key on the crankshaft.
(c) Place the timing chain on the sprocket with the single bright chain link aligned with the timing mark on the sprocket.


pic 17


2. PLACE CHAIN ON CAMSHAFT SPROCKET
(a) Place the timing chain on the sprocket so that the bright chain link is aligned with the timing mark on the sprocket.
(b) Make sure the chain is positioned between the dampers.
(c) Turn the camshaft sprocket counterclockwise to take the slack out of the chain.


pic 18


3. INSTALL OIL PUMP DRIVE SPLINE
Slide the oil pump drive spline over the crankshaft key.

HINT: If the oil pump drive spline is difficult to install by hand, install using SST.
SST 09608-35014 (09608-06040)

pic 19


4. INSTALL TIMING CHAIN COVER ASSEMBLY
(a) Remove the old cover gaskets. Clean the gasket surface. Install new gaskets over the dowels.
(b) Slide the cover assembly over the dowels and pump spline.
(c) Insert the bolts as shown and torque them.

Torque:
8 mm bolt: 13 N.m (130 kgf.cm, 9 ft.lbf)
10 mm bolt: 39 N.m (400 kgf.cm. 29 ft.lbf)


pic 20


5. INSTALL FAN BELT ADJUSTING BAR
(a) Temporarily install the adjusting bar to the alternator.
(b) Install the adjusting bar to the chain cover and cylinder head.

Torque: 13 N.m (130 kgf.cm, 9 ft.lbf)


pic 21


6. INSTALL HEATER WATER OUTLET PIPE
Connect the heater water outlet pipe to the timing chain cover with the 2 bolts.


pic 22


7. INSTALL NO.1 WATER BYPASS PIPE
Install the pipe with the 2 bolts.


pic 23


8. INSTALL CRANKSHAFT PULLEY
(a) Install the crankshaft pulley and bolt.
(b) Using SST to hole the crankshaft pulley, torque the bolt.
SST 09213-70010 and 09660-00021

Torque: 157 N.m (1.600 kgf.cm, 116 ft.lbf)

(c) with A/C: Install the No.2 crankshaft pulley.


pic 24


9. INSTALL WATER PUMP PULLEY AND FLUID COUPLING WITH FAN
(a) Temporarily install the water pump pulley and fluid coupling withfan with the 4 nuts.
(b) Place the drive belt onto each pulley.
(c) Stretch the belt tight and tighten the 4 nuts.

10. ADJUST DRIVE BELT TENSION
11. with A/C: INSTALL A/C COMPRESSOR BRACKET, COMPRESSOR AND BELT
12. with PS: INSTALL PS BELT
13. INSTALL OIL PAN
(a) Remove any old packing material and be careful not to drop any oil on the contacting surfaces of the oil pan and cylinder block.
^ Using a razor blade and gasket scraper, remove all the packing (FIPG) material from the gasket surfaces.
^ Thoroughly clean all components to remove all the loose material.
^ Clean both sealing surfaces with a non-residue solvent.

NOTICE: Do not use a solvent which will affect the painted surfaces.

pic 25


(b) Apply seal packing to the joint part of the cylinder block and chain cover, cylinder block and rear oil seal retainer.
Seal packing: Part No.08826 - 00080 or equivalent


pic 26


(c) Apply seal packing to the oil pan as shown in the illustration.
Seal packing: Part No.08826 - 00080 or equivalent

^ Install a nozzle that has been cut to a 5 mm (0.20 in.) opening.

HINT: Avoid applying an excessive amount to the surface. Be especially careful near oil passages.

^ If parts are not assembled within 5 minutes of applying the seal packing, the effectiveness of the seal packing is lost and the seal packing must be removed and reapplied.
^ Immediately remove the nozzle from the tube and reinstall the cap after using the seal packing.

(d) Install the oil pan over the studs on the block with the 16 bolts and 2 nuts. Torque the bolts and nuts.

Torque: 13 N.m (130 kgf.cm, 9 ft.lbf)

(e) Lower the engine and install the engine mounting bolts.
(f) Install the engine under cover.

14. INSTALL RADIATOR
15. INSTALL CYLINDER HEAD
16. 4WD: INSTALL FRONT DIFFERENTIAL

___________________________________________________

Let me know if this helps.

Joe
Dec 5, 2020 at 8:31 PM
Avatar
TERMAXCO
  • MEMBER
  • 54 POSTS
Thanks for directions and pics. A real help. If you're still on board: on questions, let me know if I just need to dismantle some more to check more first.
I went ahead and figured whatever forced me to move distributor back one gear (Or, moved it one gear ahead) is still broke regardless of whatever else is also wrong; and, that leaves only distributor gears or chain or chain gears.

Finally I got truck in garage late today and took off few things and the valve cover to look in there. Have not taken front chain cover off yet to see crank gear.

Things are not looking right in there to me:
Update and questions:
Distributor gears looked okay to me (can't see how they could have skipped); Chain was loose on both sides till tightened it up on guide side (right) at #1 cylinder TDC; But, I think on the tensioner side (left) all seems loose but not sure how tight its supposed to be. I can also lift the chain up off the cam gear very slightly (about a 1/16 inch). Further down at tensioner it did seem to be some tighter. I didn't see any shiny chain link so far.
But observed 2 things at #1 cylinder TDC: (if I did it right - I put the only pulley mark at 0 mark on plate and distributor is pointing to #1 cylinder terminal. Let me know if there's more to it).

1. All the rockers on the left side facing engine (incl. #1 cylinder) (don't know if intake or exhaust) are tight with no gap even those not on any cam lobe like #1 cylinder; and, #1 cylinder and all not on lobe on the right side are properly loose or gapped. Can't figure that out?

2. The cam timing chain gear had no timing marks I could see on the side facing out (me) so, I looked and found them on the inner back side facing in the engine (so looks like someone put it on backwards??? - I can tell it has had a chain put on it in the past.) And, the biggest concern is that at #1 cylinder TDC these cam gear timing marks were not pointing to the top but were well past top towards the right. I'd say clockwise about the middle between 12 o'clock and 15 degrees after.
Questions:
Shouldn't both rockers on #1 cylinder be loose and all others not on cam lobe on left side?
Shouldn't these can gear marks be on the outside (does it make any difference?)

Should these cam gear marks be pointing to top if engine mark is at #1 cylinder TDC? Or should the be pointing down and I just can't see them yet? The 2 marks I see on back side look exactly like the ones in pic 17.
Should there be this, or any, play in the chain and tensioner or should the tensioner hold all tight at all times?
Does any of this indicate any problem since moving the distributor back one gear kind of fixed it.
Thanks.
Dec 9, 2020 at 5:38 PM
Avatar
JACOBANDNICKOLAS
  • CERTIFIED EXPERT
  • 110,175 POSTS
Hi,

The timing is done by identifying the bright chain link location is aligned with the marks on the sprockets. See pics 1 and 2. Now, it isn't odd that you can move the chain a bit. However, it is odd the marks are on the rear of the chain.

See if the links line up. See the attached pics for directions for setting the engine timing.

Let me know what you find.

Joe
Dec 9, 2020 at 8:30 PM