Key fob programming

2002 NISSAN SENTRA
140,000 MILES • 2.5L • 4 CYL • 2WD • MANUAL
Avatar
FELIPE MARTINEZ
  • MEMBER
  • 1 POST
I replaced a SECU on my vehicle because the remote and lock switch stopped working. Now the lock switch works but my key fob does no work. I have tried to reprogram it, but I only hear a clicking noise coming from the new SECU. How can I fix this problem?
Oct 13, 2018 at 1:55 AM
Advertisement
Avatar
STRAILER
  • CERTIFIED EXPERT
  • 53,854 POSTS
Hello,

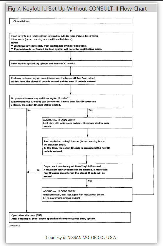
Here are the reprogramming instruction and a flowchart to go down the problems and tests for the fob and security system:

NOTE:
If a keyfob is lost, the ID code of the lost keyfob must be erased to prevent unauthorized use. A specific ID code can be erased with CONSULT-II. However, when the ID code of a lost keyfob is not known, all keyfob ID codes should be erased. After all ID codes are erased, the ID codes of all remaining and/or new keyfobs must be re-registered.
To erase all ID codes in memory, register one ID code (keyfob) four times. After all ID codes are erased, the ID codes of all remaining and/or new keyfobs must be re-registered.

When registering an additional keyfob, the existing ID codes in memory may or may not be erased. If four ID codes are stored in memory, when an additional code is registered, only the oldest code is erased. If less than four ID codes are stored in memory, when an additional ID code is registered, the new ID code is added and no ID codes are erased.
If you need to activate more than two additional new keyfobs, repeat the procedure "Additional ID code entry" for each new keyfob.
Entry of maximum four ID codes is allowed. When more than four ID codes are entered, the oldest ID code will be erased.
Even if same ID code that is already in the memory is input, the same ID code can be entered. The code is counted as an additional code.

Check out the diagrams (below). Please let us know what happens.

Cheers, Ken

Oct 15, 2018 at 12:01 PM