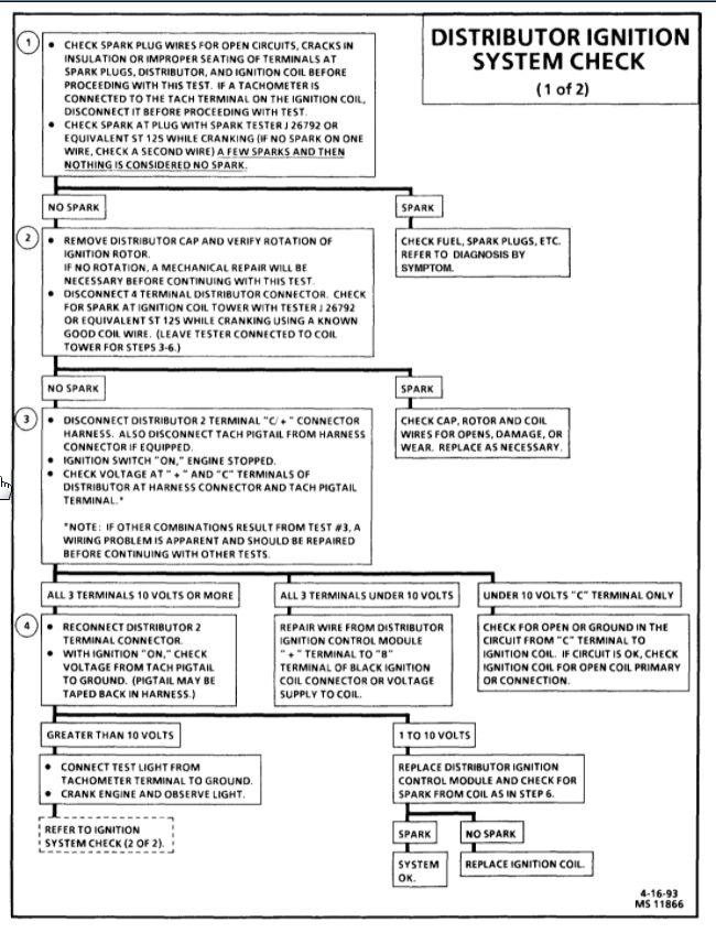
My vehicle listed above just shuts off while driving without warning and will not restart . Strange as it sounds sometimes no fuel and then sometimes I spark . I’ve replaced complete fuel pump assembly with Bosch, new fuel frame filter , fuel relay , plugs , wires , distributor cap and rotor and now a completely new distributor with all new components , and the coil twice . Usually once I change something like the ICM it started and ran for maybe 50 to 75 miles and then just shut off with no warning . The time before that after shut off , it wasn’t getting fuel so I’d pour some down the throttle body and it would start so once again I changed the fuel pump and at that time I also checked the one I took out and it wasn’t bad and the thing still wouldn’t start . As strange as it sounds my neighbor/great certified mechanic owed me a favor and checked it out . He replaced the coil and it fired right up . It ran for around 500 miles give or take and then shut down . At this point is where I replaced the ICM and it ran less than 100 miles and just shut down . After sitting for about a year with no start try after try Wednesday I replaced the complete distributor assembly including all new components . Suburban fired right up I adjusted the timing and ran great sitting in the yard . Fired right up at every crank for 3 days . Loaded up for a trip too the storage unit with my head held high feeling a bit confident that she’s finally rockin again and to no avail this vehicle shuts down again about 5 miles from home . She’s getting fuel but no spark and at this point , I'm the only one thats fired up . So at this point , please Any help would be great . Thanks , D.H. In VA
May 30, 2021 at 9:06 PM




