Crankshaft Position Sensor A circuit

2004 HYUNDAI SANTA FE
64,000 MILES • 4 CYL • 2WD • AUTOMATIC
Avatar
PWILLIAM2007
  • MEMBER
  • 1 POST
Hello,
On my car, we were at a stoplight about to turn left and the car stalled out. It would not start right away, but after pushing it out of the way, about 10 minutes passed, tried to start again and it started. Went to a local car store and have them put on a free OBD-II and it came out with the code of P0341.

Is there a way this can be fixed by me or someone w/some general car knowledge or do I have to take it to the dealer to have this sensor replaced and the check engine light reset?


Thanks
Patrick Hutchinson
Chandler, AZ
Apr 17, 2010 at 9:16 PM
Advertisement
Avatar
JACOBANDNICKOLAS
  • CERTIFIED EXPERT
  • 110,175 POSTS
Patrick:
It is located behind the timing cover, you will have to remove all of the belts and brackets to get the cover off to replace it.

Check out the guide below, its not vehicle specific but it will give you an idea of whats involved

https://www.2carpros.com/articles/crankshaft-angle-sensor-replacement

See the diagram below for the location of the sensor on your vehicle
May 22, 2010 at 11:05 PM
Avatar
BBQ6464
  • MEMBER
  • 3 POSTS
I replaced the sensor yesterday, car still would not start, so had to take to shop and mechanic said I replaced sensor backwards, now he said he has to replace with another new one, would it short it out
if I put it on backwards?
Jan 23, 2019 at 4:55 PM (Merged)
Advertisement
Avatar
BLUELIGHTNIN6
  • CERTIFIED EXPERT
  • 16,542 POSTS
if crank sensor is installed backwards it damages the plate that is between the crank sprockets, that is why it will need replaced. the plate should have FRONT or REAR labeled on it..
Jan 23, 2019 at 4:55 PM (Merged)
Avatar
VTRMRQS
  • MEMBER
  • 1 POST
Does the crank sensor set off when something is wrong with the alternator belt or any other belt that is damaged or not aligned? Recent replaced belts have caused some problems with engine shutting down after running a few seconds. Any information would really be appreciated. Thanks
Jan 23, 2019 at 4:55 PM (Merged)
Avatar
ITSALLGOOD
  • MEMBER
  • 37 POSTS
As far as I know the crank sensor shouldn't be affected by the new belts. But my Santa Fe is also doing the same thing - new belts, and now it only will stay running for 3 seconds. Just 2.5 to 3 seconds, no longer. Did you figure out what the problem was?
Jan 23, 2019 at 4:55 PM (Merged)
Avatar
ROBERTJ0929
  • MEMBER
  • 5 POSTS
Electrical problem
2004 Hyundai Santa Fe 4 cyl Two Wheel Drive Automatic

where is this sensor located on the motor and do you have a pic for the location.
Jan 23, 2019 at 4:55 PM (Merged)
Avatar
KHLOW2008
  • CERTIFIED EXPERT
  • 41,814 POSTS
Hi RobertJ0929, Sensor is located at rear of engine.


https://www.2carpros.com/forum/automotive_pictures/192750_Rear_OfEngine04SanteFe4cylFig69_1.jpg

Jan 23, 2019 at 4:55 PM (Merged)
Avatar
PHILS1982
  • MEMBER
  • 1 POST
I was wondering where the crankshaft position sensor was on a 2.0TD Santa Fe?
Jan 23, 2019 at 4:55 PM (Merged)
Avatar
RASMATAZ
  • CERTIFIED EXPERT
  • 75,992 POSTS
Here is a guide and a diagram to help you get the sensor changed out.

https://www.2carpros.com/articles/crankshaft-angle-sensor-replacement

Check out the diagrams (Below). Please let us know if you need anything else to get the problem fixed.

Cheers
Jan 23, 2019 at 4:55 PM (Merged)
Avatar
DONALD MCKEE
  • MEMBER
  • 1 POST
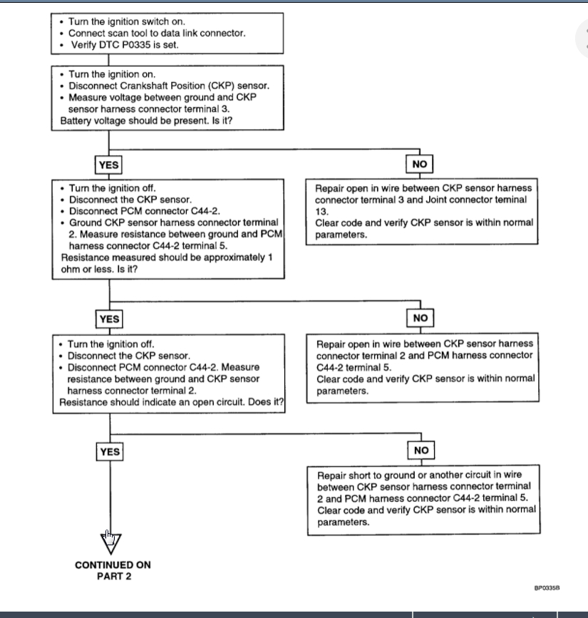
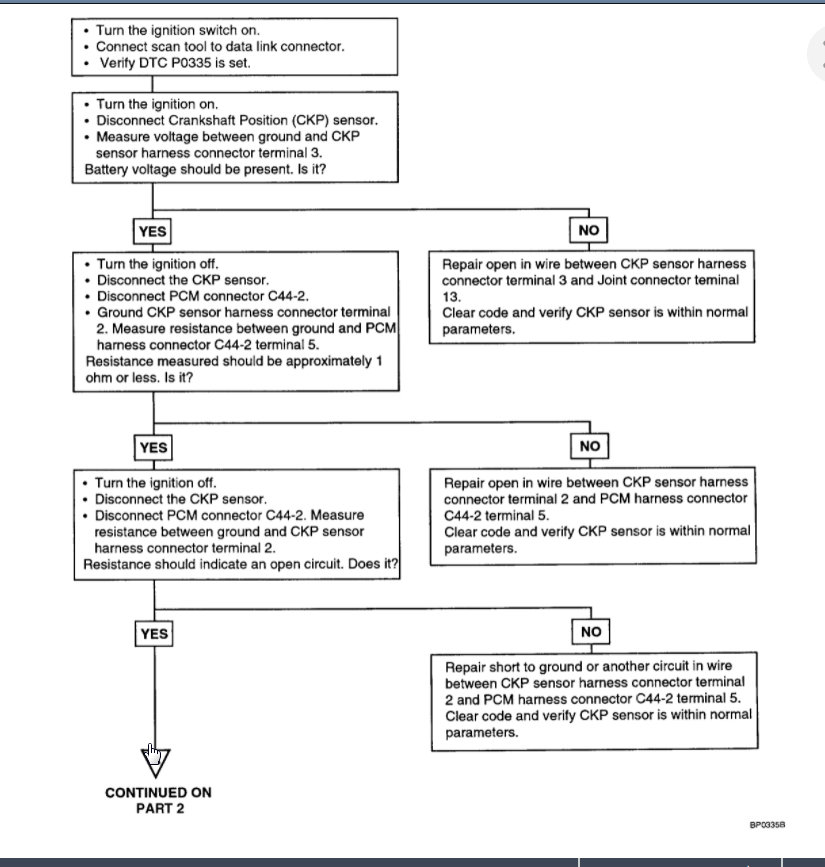
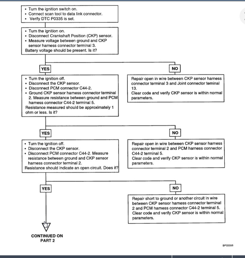
2003 Hyundai Santa Fe GLS 3.5l v6 2wd dual transmission showing code p0335. how do I get to it to replace it?
Apr 28, 2021 at 9:27 AM
Avatar
KASEKENNY
  • CERTIFIED EXPERT
  • 18,907 POSTS
You need to remove the timing belt cover to access it. I attached the info below but before you do, I would run through the testing just to be sure this is the issue. There are other causes of this code and if you didn't need to remove the cover to get to it then it may be worth just taking a shot at it but I would not want to be wrong after doing this.

Please let us know if you have other questions. Thanks
May 1, 2021 at 9:39 AM