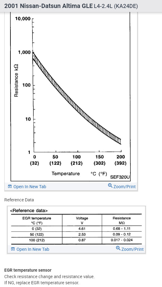
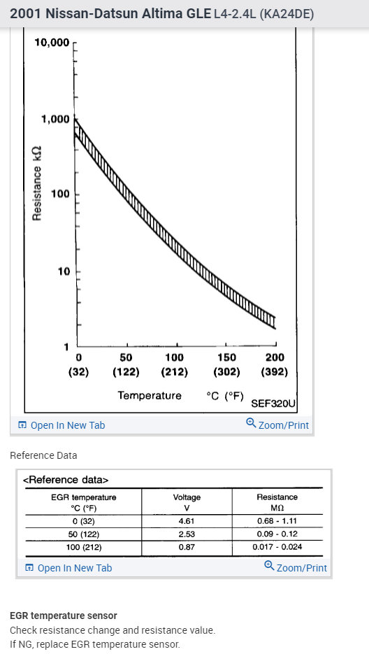
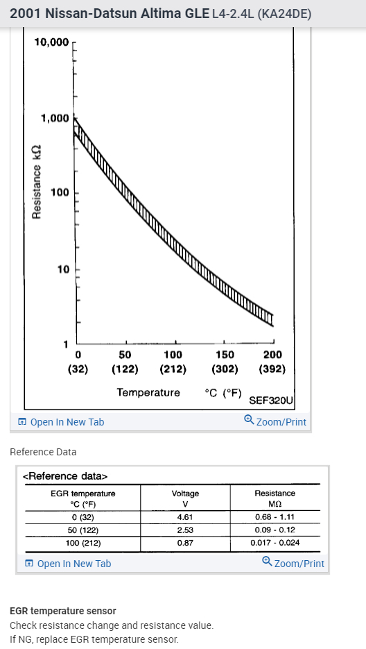
About a year ago in my car, the engine light appeared. I used a scanner to try and find out the problem, and it returned a P0400 code. I first checked the EGR valve, and it appeared to be stuck open a little bit. Despite cleaning it using a carburetor spray, it was still stuck open. So, I bought a new EGR Valve and reset the engine light, only for the engine light to come back again after driving it for about 30 miles. I even tested the EGR temperature sensor, and it worked just fine. I'm not sure what else I am supposed to check.
Feb 28, 2022 at 11:00 PM

























































