Have no spark

1992 HOLDEN RODEO
300 MILES • 2.6L • 4 CYL • 2WD • AUTOMATIC
Avatar
JOHNNATHAN HAMMOND
  • MEMBER
  • 2 POSTS
I have power to coil but no spark. I have changed the coil, condenser, ignition module.
Apr 21, 2018 at 1:14 AM
Advertisement
Avatar
HARRY P
  • CERTIFIED EXPERT
  • 2,292 POSTS
I suggest taking a look at the Crankshaft Position Sensor. Is the service engine light on? If so, you should get the codes pulled and see what it says.
Apr 21, 2018 at 3:25 AM
Avatar
JOHNNATHAN HAMMOND
  • MEMBER
  • 2 POSTS
No lights. on the motor where is the crank sensor?
Apr 21, 2018 at 4:05 AM
Advertisement
Avatar
PATENTED_REPAIR_PRO
  • CERTIFIED EXPERT
  • 1,853 POSTS
There is a crank angle sensor inside the distributor.
That would usually set a code 41 though if it were bad.
Here is a test,
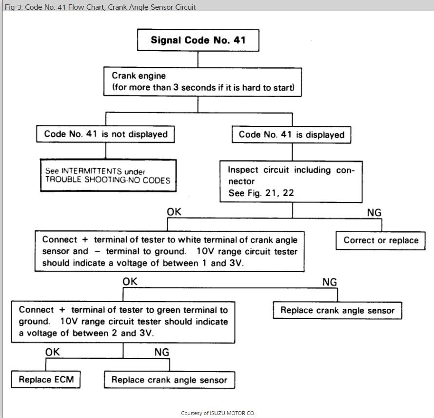
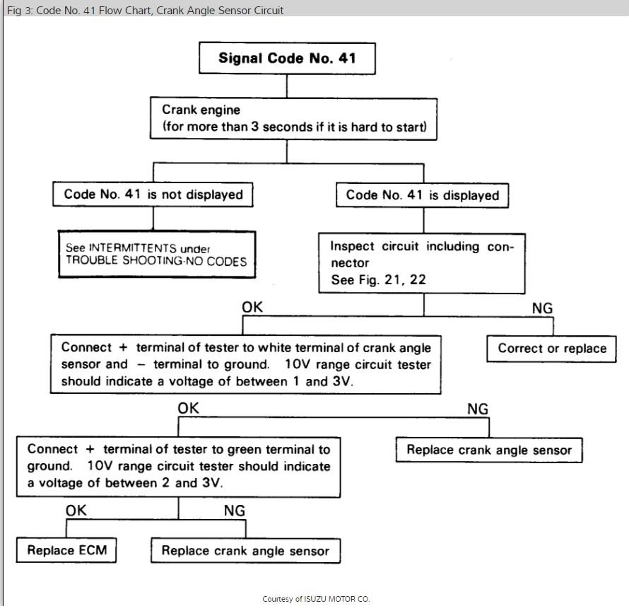
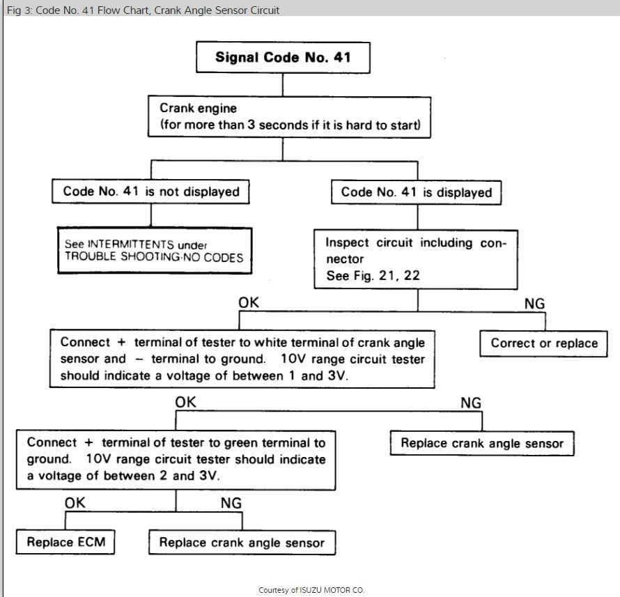
CODE 41 - CRANK ANGLE SENSOR SIGNAL > DIAGNOSTIC AID
Disconnect crank angle sensor harnesses at crank angle sensor connector.
Disconnect all connectors at ECM.
Turn ignition "on". Measure resistance between terminals 34 and white, 35 and green and black and ground. Resistance should be zero.
Measure voltage between green/black and ground. Voltage should be 10-14 volts.
When circuit is found to be in normal condition, replace distributor assembly.
Apr 21, 2018 at 6:20 AM