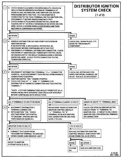
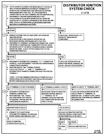
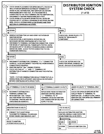
This happened twice. The first time i was able to put it back in park and turn it back on. The second time it stalled it shut off and wouldn’t start again. New spark plugs, wires, coil pack, ICM module.
Jul 28, 2020 at 7:35 AM








