Transmission hard shifting into second and it will not go into overdrive

1993 CHEVROLET TRUCK
126,000 MILES • 7.4L • V8 • 4WD • AUTOMATIC
Avatar
TIM2290
  • MEMBER
  • 4 POSTS
My transmission just started hard shifting into second and it won't go into overdrive. I've checked the codes and it's showing 68, 85, 86, and 87. I've tried to look up what the codes were but I don't think I found the right ones. Please any accurate info would help at this point!
Thanks!
Dec 14, 2019 at 7:57 PM
Advertisement
Avatar
DANNY L
  • CERTIFIED EXPERT
  • 5,648 POSTS
Hello, I'm Danny.

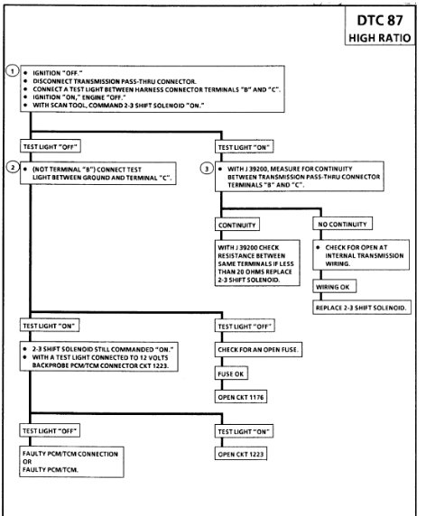
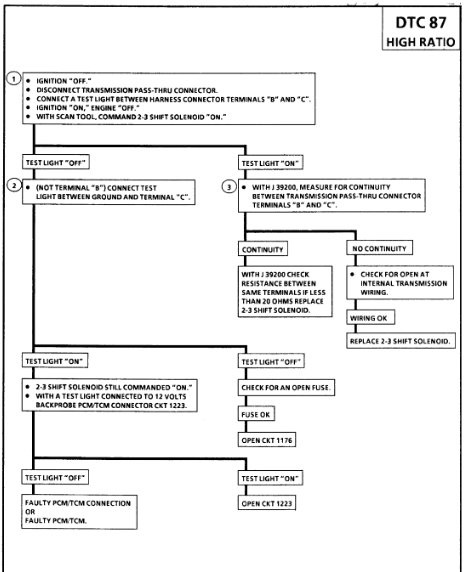
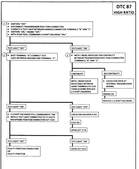
I've attached step-by-step diagnostic instructions for the codes you've requested.They are attached below.Let me know if you have any further questions about these codes.Hope this helps and thanks for using 2CarPros.
Dec 14, 2019 at 9:29 PM
Avatar
TIM2290
  • MEMBER
  • 4 POSTS
Danny you are the man!! It was all because of the speed sensor, and thanks to you my truck is back running like it's supposed to. I honestly can't thank you enough! If I have anymore problems in the future I will definitely be contacting you. Thanks again! Merry Christmas!
Dec 22, 2019 at 9:53 AM
Advertisement
Avatar
STEVE W.
  • CERTIFIED EXPERT
  • 15,113 POSTS
Great to hear you fixed it. Thank you for using 2CarPros.
Dec 23, 2019 at 4:04 PM
Avatar
TIM2290
  • MEMBER
  • 4 POSTS
Hey guys I'm back. My transmission problems are fixed thanks to your help! But now im getting a code 43.. any idea what that might be? Thanks!
Jan 8, 2020 at 8:38 PM
Avatar
STEVE W.
  • CERTIFIED EXPERT
  • 15,113 POSTS
43 is a code relating to the spark control. About 50% of the time it's a bad knock sensor. However it can also be the wiring, the ESM in the distributor or the ECM. If you have a timing light you can check the sensor by looking at the timing and tapping on the top of the engine with a metal hammer. If the sensor and wiring are OK the timing should retard by 4 degrees. Look on the sticker for the normal timing, I believe it is 0 degrees BTDC. So if you look and the timing is at 0 and tapping on the block makes it go to 4 degrees BTDC, the sensor and wiring are likely ok and the problem is elsewhere. If the timing doesn't move or seems stuck at 4 BTDC, unplug the sensor and see if it changes. The sensor is screwed into the block on the side about 4 inches in front of the starter motor. Another test is to use an ohmmeter on the sensor with it installed. From the wire terminal to the engine block should be 3900 ohms. Be gentle installing a new one, 14 ft pounds or a good hand tight. The sensor goes into the water jacket on most engines, they usually come with sealer on them. A trick to remove and install a replacement is to have someone squeeze the radiator hose, then release it as soon as you are ready to remove the sensor. Swap the new one in fast and you might lose a pint of coolant if you time it right.
Jan 8, 2020 at 9:58 PM