Check engine light turned on with codes p2188 and code p2404

2007 MAZDA 5
186,000 MILES • 6 CYL • 2WD • AUTOMATIC
Avatar
LISA JONES
  • MEMBER
  • 1 POST
It shows no problem just engine light came on and these are the codes.
Aug 31, 2021 at 6:21 PM
Advertisement
Avatar
SQM
  • CERTIFIED EXPERT
  • 6,383 POSTS
Hello,

These are the code:
P2188: Fuel system too rich at idle.
P2404: EVAP system leak detection.

The code P2188 can occur for few different reasons. Primary reason could be having misfire or having a faulty oxygen sensor. It can also get triggered for mass air flow sensor malfunction.

P2404 can get triggered for any type of leak in the EVAP system. It could be a simple as a loose or defective fuel cap or a hose that is leaking.

https://www.2carpros.com/articles/evap-system-code-repair

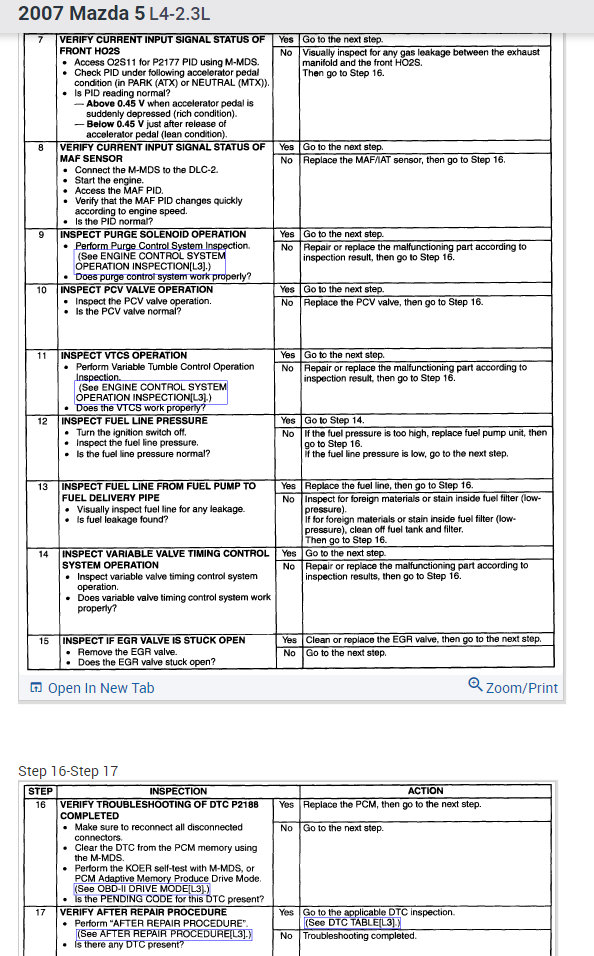
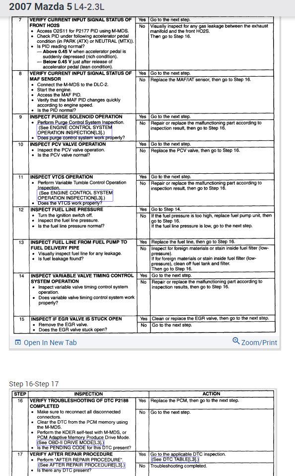
I have attached the diagnostics for both of those codes. It should help you determine what is the reason you are getting those codes.

Please let me know of any questions.
Thank you.
Aug 31, 2021 at 11:19 PM