Codes p0108 and p0122

2000 HONDA CIVIC
200,000 MILES • 2WD • AUTOMATIC
Avatar
ZAMARRIPAL92
  • MEMBER
  • 1 POST
I have the EX model two door. It idles and revs high and low at 1 500 rpm's but when it is above 2,000 rpm's it seems to be fine. However, it does feel like it kind of wants to shut off. I put a scanner on it and got the codes p0108 and p0122. I need help with where I should start to fix this problem. Please and thank you.
May 10, 2018 at 11:40 AM
Advertisement
Avatar
JACOBANDNICKOLAS
  • CERTIFIED EXPERT
  • 110,175 POSTS
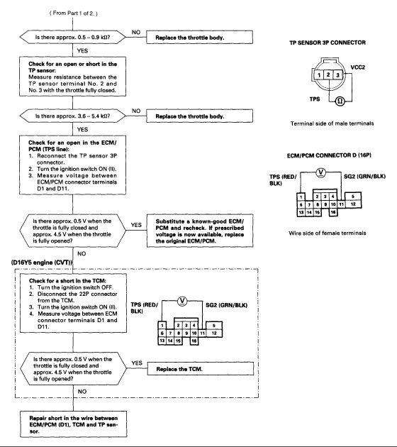
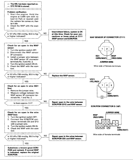
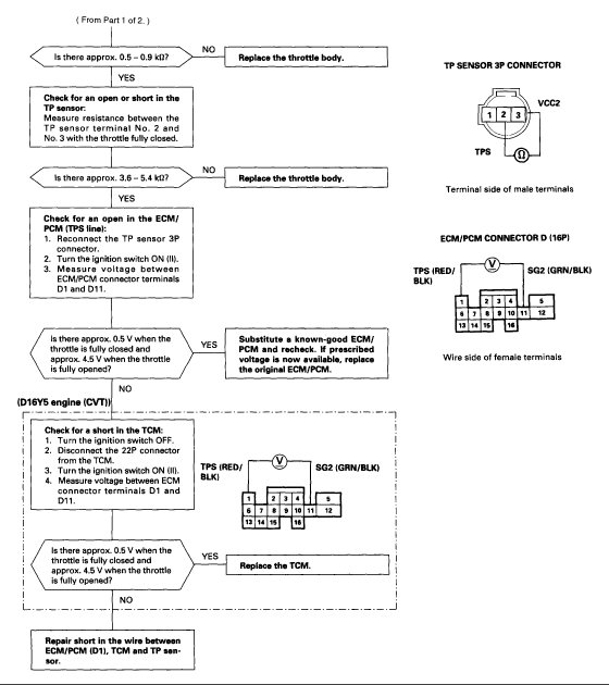
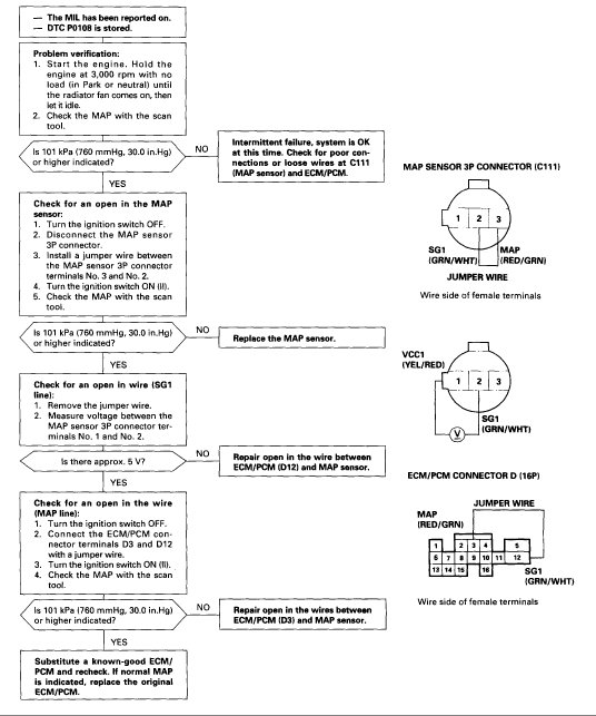
Hi and thanks for using 2CarPros.com. The P0108 code deals with the manifold absolute pressure sensor, MAP. It indicates a high voltage (low vacuum) problem. Interestingly, that code refers to a vehicle that has a manual transmission, not an automatic that you indicated. Additionally, there are two different engines. One is a VTEC and the other is not. I have attached two flow charts for your review. The first one is for the VTEC and the second one is the non-VTEC. The second code, P0122, indicates a low voltage in the throttle position sensor, TPS. Pictures 3 and 4 are flow charts related to this problem.

I do not know your skill level, so I want to provide directions related to using a test light and volt meter. Last, directions for checking wiring.

https://www.2carpros.com/articles/how-to-use-a-test-light-circuit-tester

https://www.2carpros.com/articles/how-to-use-a-voltmeter

https://www.2carpros.com/articles/how-to-check-wiring

This may be confusing, but take your time.

Cheers,
Joe
May 10, 2018 at 7:08 PM