battery light always on?

2013 CHRYSLER TOWN AND COUNTRY
99,000 MILES • 3.6L • V6 • TURBO • 2WD • AUTOMATIC
Avatar
BOBNICH
  • MEMBER
  • 2 POSTS
Alternator stopped working last week so I replaced it. Everything was fine for two days but then battery charge light came on and always stays on. Battery keeps its charge and measures 12.75 volts before driving. With motor running it reads 14.0 volts and stays charged. Don't know what the PCM reads to turn on light.
Jun 19, 2019 at 11:42 AM
Advertisement
Avatar
SCGRANTURISMO
  • CERTIFIED EXPERT
  • 4,897 POSTS
Hello,

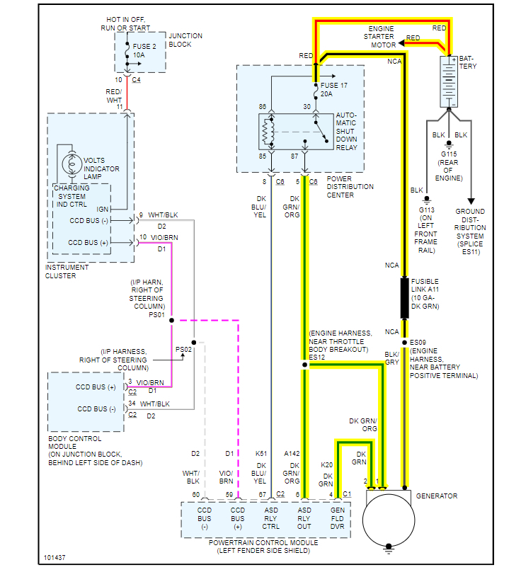
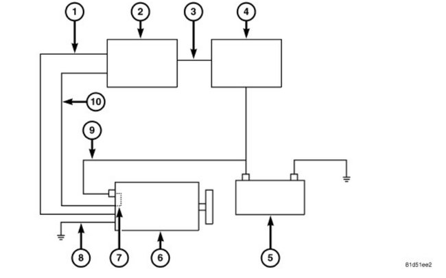
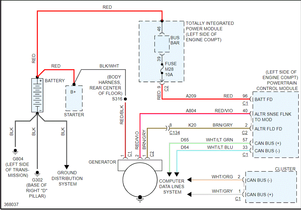
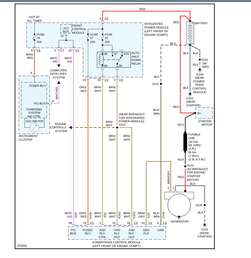
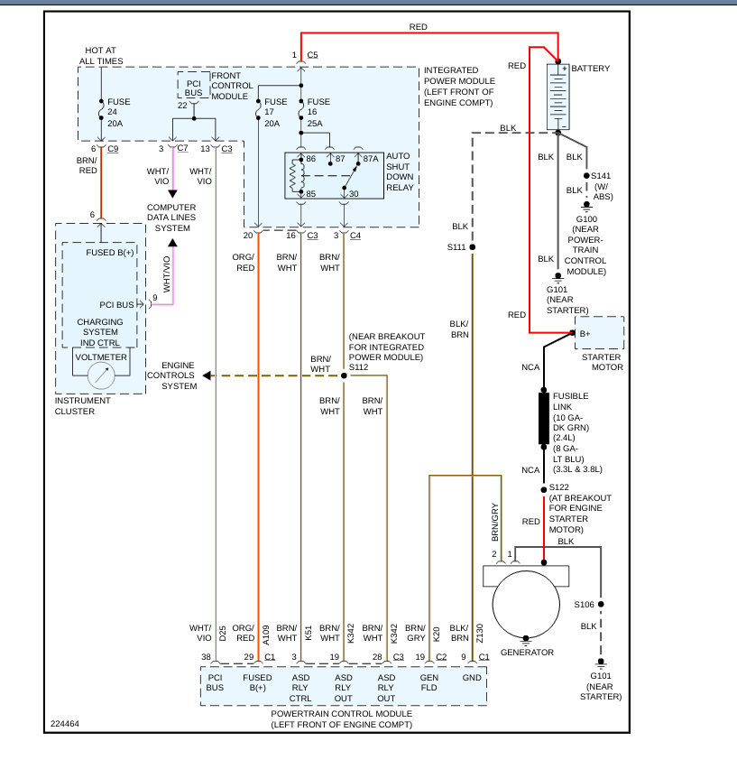
Did you have the correct alternator installed? This sounds like it could be going the other way and is overcharging your vehicle's battery. I have included the alternator specifications as well as a description of how your vehicle's charging system works in the diagrams down below. Please go through it and get back to us with what you are able to figure out. If this doesn't work the PCM may need to be replaced because the voltage motor is not working correctly. Check out the diagrams (Below). Please let us know what you find. We are interested to see what it is.
Jun 20, 2019 at 2:34 AM
Avatar
BOBNICH
  • MEMBER
  • 2 POSTS

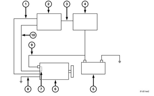
Great response. That is exactly the information I was looking for. Now, is
there a place that I can monitor the voltages at refs #3 and #10 to know
for sure? It looks like I can probe at the fusebox for ref #3 but probably
can't find where to probe #10. If I could find a place to probe #1 I could
monitor it with a scope and see what is happening.

On my old Dodge Caravan I could hook my OBDII reader to laptop and read
program memory and find the stored values when someone published the
locations online. With the more modern cars I can't find any such info
(and my old spec 9141 interface won't read cars after 2007 anyway).

Since the circuit consists of only alternator, battery, TIPM, and PCM
and all was good until alternator failed, it seems to me the new alternator
is the problem. According to Advance Auto Parts it is the correct one and
the specs published online indicate that.

Most valuable to me would be would be a wiring diagram showing the wires
and connector pin numbers were I could probe.

Jun 23, 2019 at 12:26 PM
Advertisement
Avatar
SCGRANTURISMO
  • CERTIFIED EXPERT
  • 4,897 POSTS
Hello again,

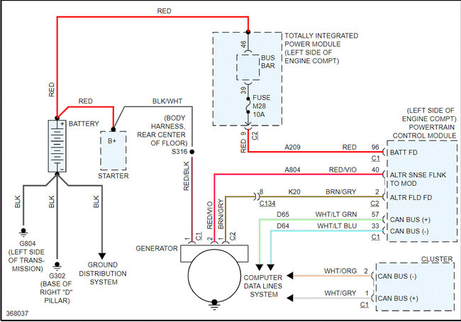
I have included the information that you requested in the diagrams down below. Please let us know what you are able to find out.

Thanks,
Alex
2CarPros
Jun 23, 2019 at 6:39 PM
Avatar
MISTY DAWN COLLINS
  • MEMBER
  • 1 POST
Alternator and battery have been replaced. All fuses have been checked. Battery terminals are new. All the cables are connected. Why is the battery light still on?
Feb 12, 2021 at 1:20 PM (Merged)
Avatar
STRAILER
  • CERTIFIED EXPERT
  • 53,854 POSTS
Hello,

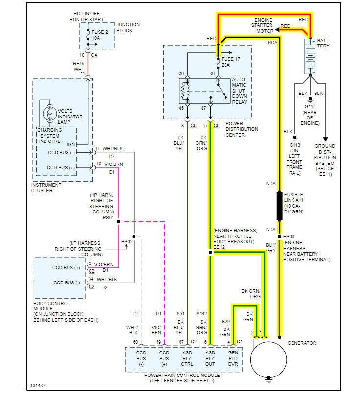
This is a common problem which is telling you the TIPM is probably out and needs to be replaced which is easy because it self initializes. Here are instructions a diagrams to help you fix the problem. Check out the diagrams (Below). Please let us know what happens.
Feb 12, 2021 at 1:20 PM (Merged)
Avatar
BIGGGD
  • MEMBER
  • 2 POSTS
I had my battery light come on while driving. Removed the battery. had it tested. Tested good, full charge 12.8v. Replaced in vehicle light off. drove vehicle 10 miles, light comes back on. Stopped Popped hood, used my voltmeter i had put in the van and checked battery voltage on the plus minus posts.... 14.4v. I did not lose power steering etc., which would be serpentine issue if I did.
Feb 12, 2021 at 1:20 PM (Merged)
Avatar
JACOBANDNICKOLAS
  • CERTIFIED EXPERT
  • 110,175 POSTS
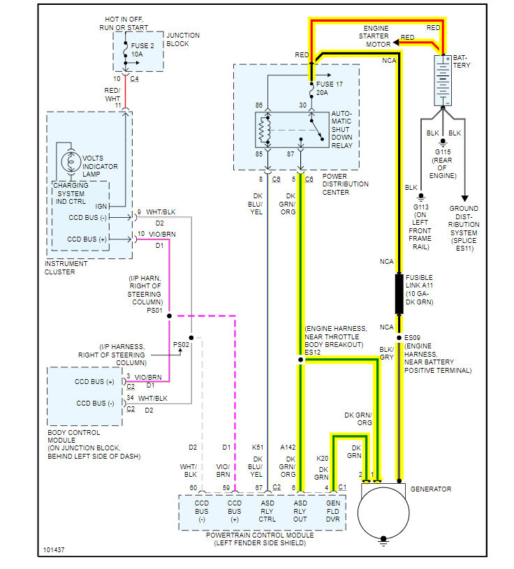
Were you seeing 14.4V while the battery light was on? Are you sure the battery terminals and connections at the alternator are clean and tight?

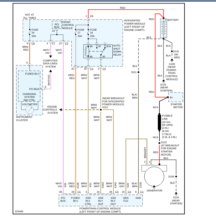
I attached a copy of the charging system wiring schematic for your reference. Start checking wiring where connections are made.

https://www.2carpros.com/articles/how-to-check-wiring

Let me know what you find. Also, let me know if you have other questions.

Take care and God Bless,

Joe
Feb 12, 2021 at 1:20 PM (Merged)
Avatar
BIGGGD
  • MEMBER
  • 2 POSTS
14.4v with the battery light on..with clean and tight battery terminals. however, the town country only has the idiot battery light...when I scroll through the cluster I get engine temperature, oil pressure and oil temperature (transmission temperature would make more sense,) and there is not a voltage reading. idioc if you ask me. I put a voltmeter in the van thru the cigarette lighter...it is reading 14.38v for the most part with small fluctuations. I have it on the dash and will monitor and wait for the battery light to come back on. I will check alternator wires.
Feb 12, 2021 at 1:20 PM (Merged)
Avatar
JACOBANDNICKOLAS
  • CERTIFIED EXPERT
  • 110,175 POSTS
That is an odd one. There could be a break down in the can bus. You may want to scan the entire can-bus system to see if it shows a failure. CAN stands for controller area network. This vehicle has it and there are computer data lines running into the vehicle. Here is a video showing how it's done:

https://youtu.be/InIlnsjOVFA

Let me know.

Take care,

Joe
Feb 12, 2021 at 1:20 PM (Merged)
Avatar
R37KINGS
  • MEMBER
  • 1 POST
Coupled days ago car had shut off. Alternator and battery were both low. Put new battery and alternator in. Started up and ran fine. 15 minutes later, battery light is back on. Any ideas?
Feb 12, 2021 at 1:21 PM (Merged)
Avatar
SCGRANTURISMO
  • CERTIFIED EXPERT
  • 4,897 POSTS
Hello,

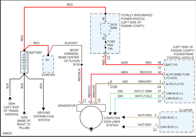
I would double check the connections to the battery terminal and the connections on the alternator to make sure that they are correct and they are all tight. Also could you please check and make sure that they alternator's drive belt is tight and is not slipping. In the diagrams down below I have included the charging circuit wiring diagram for reference to make sure everything is hooked correctly. Please get back to us with what you find out and we can go from there.

Thanks,
Alex
2CarPros
Feb 12, 2021 at 1:21 PM (Merged)
Avatar
SEBASTIANFROMNJ
  • MEMBER
  • 40 POSTS
Replaced engine for customer. Had a bad piston in cylinder 6. rest of swap went good and misfire is gone. However the battery light wont go off. The alternator is new. if I manually power the field the alternator charges but battery light remains. wire has continuity to fuse panel. Grounds seem okay if I jump ground to alt or block it doesn't change anything. Alt is spinning and is putting out no power. Goes above 13v with field manually powered. Put another alternator in no difference. There is no interior fuse panel and all fuses seem okay in engine panel. I've also tried jumping directly to positive terminal of battery to alternator post.
Alternator is not charging at post without me manually engaging field.
Feb 12, 2021 at 1:21 PM (Merged)
Avatar
ASEMASTER6371
  • CERTIFIED EXPERT
  • 52,796 POSTS
Good afternoon,

I attached the wire diagram for you to view. The field comes from the ECM. If there is no power, good chance the ECM itself has failed.

https://www.2carpros.com/articles/how-to-check-a-car-alternator

https://www.2carpros.com/articles/how-to-check-wiring

Roy
Feb 12, 2021 at 1:21 PM (Merged)
Avatar
SEBASTIANFROMNJ
  • MEMBER
  • 40 POSTS
Is it possible this diagram is wrong?
I seem to have blue yellow and black gray. I’m assuming this is just a discrepancy between sub models.
Feb 12, 2021 at 1:21 PM (Merged)
Avatar
ASEMASTER6371
  • CERTIFIED EXPERT
  • 52,796 POSTS
I looked it up for a 3.3. Is the engine size different?

I believe they are are the same.

Can you post the complete VIN number?

Roy
Feb 12, 2021 at 1:21 PM (Merged)
Avatar
SEBASTIANFROMNJ
  • MEMBER
  • 40 POSTS
You’ll never believe; I realized the color difference and looked at the connectors I had the alternator and A/C compressor plugs mixed up. They’re keyed the same way and both fit on both connectors and are in same general area.
Thank you for your help.
Feb 12, 2021 at 1:21 PM (Merged)
Avatar
SEBASTIANFROMNJ
  • MEMBER
  • 40 POSTS
Also, car threw no codes and ran perfect.
Feb 12, 2021 at 1:21 PM (Merged)
Avatar
ASEMASTER6371
  • CERTIFIED EXPERT
  • 52,796 POSTS
Good find.

You are welcome.

Always glad to help.

Roy
Feb 12, 2021 at 1:21 PM (Merged)
Avatar
VINCYCARTROUBLES
  • MEMBER
  • 2 POSTS
just replaced alternator AGAIN two weeks ago, it was replaced originally one year ago. now the battery light is coming on intermittently and i had it checked at three different places they say that both battery and alternator if functioning like it should -unclear why battery indicator comes on. HELP
Feb 12, 2021 at 1:21 PM (Merged)
Avatar
RASMATAZ
  • CERTIFIED EXPERT
  • 75,992 POSTS
Have this checked out: The Electronic Voltage Regulator (EVR) is not a separate component. It is actually a voltage regulating circuit located within the Powertrain Control Module (PCM). The EVR is not serviced separately. If replacement is necessary, the PCM must be replaced.
Feb 12, 2021 at 1:21 PM (Merged)
Avatar
CARADIODOC
  • CERTIFIED EXPERT
  • 34,306 POSTS
You have an intermittent problem so the testing has to be done while the problem is occurring. Brushes in the alternator are the most common source of trouble, and can be replaced separately for 9 bucks, but I would never do that without performing some tests first. When the problem is occurring, measure the resistance between the two smaller wires on the back of the alternator. If you find an open circuit, the brushes are worn.
Feb 12, 2021 at 1:21 PM (Merged)
Avatar
ROMEO0829
  • MEMBER
  • 1 POST
the batter light is on on the dash i put my voltmeter on battery with engine running and im getting 14.03 volts so it seems to be charging but batt light is still on. please help
Feb 12, 2021 at 1:22 PM (Merged)
Avatar
CARADIODOC
  • CERTIFIED EXPERT
  • 34,306 POSTS
You did the first part of the charging system test and it came up good, but that just means it is okay to have the rest of the test done by your mechanic. That requires a professional load tester to test for maximum output current and "ripple" voltage. If one of the six diodes has shorted, you'll only be able to get exactly one third of the alternator's rated maximum current, and ripple voltage will be very high. Alternators put out three-phase current. When one phase is missing, during that time the output voltage drops real low. That is what makes ripple voltage, (the difference between the highest and lowest voltages) excessive. The Engine Computer will turn the "Battery" warning light on in response to those low voltage points.
Feb 12, 2021 at 1:22 PM (Merged)
Avatar
DEB1025
  • MEMBER
  • 1 POST
my van ,for a couple of week has had a little battery light up ,i know nothing about cars ,i asked someone and they said as long as it runs should be fine ,wasnt good advice ,i was taking my husband to dialysis yesterday and the car was running fine then the radio shut down after that the heater ,just barely made and everything shut down ,i got it jumped and tried it this morning it starts ,but little battery still lit and dont think it will take me to for
Feb 12, 2021 at 1:22 PM (Merged)
Avatar
ASEMASTER6371
  • CERTIFIED EXPERT
  • 52,796 POSTS
Okay, I attached a procedure for the replacement of the alternator for you and the test for verifying the repair when completed.

https://www.2carpros.com/articles/how-to-check-a-car-alternator

https://www.2carpros.com/articles/how-to-replace-an-alternator

I also attached a wiring diagram of the system for you.

https://www.2carpros.com/articles/how-to-check-wiring

https://www.2carpros.com/articles/how-to-check-a-car-fuse

Roy

REMOVAL
1. Release hood latch and open hood.

Removal/Installation Of Battery Cables
imageOpen In New TabZoom/Print

2. Disconnect battery negative cable.
3. Remove windshield wiper housing, refer to Windshield Wipers and Washers for proper procedures.
4. Remove accessory drive belt.

Generator Mounting Bracket
imageOpen In New TabZoom/Print

5. Remove bolt holding top of generator mount bracket to engine air intake plenum.
6. Remove bolts holding outside of generator mount bracket to generator mount plate.
7. Remove bolt holding top of generator to mount bracket.
8. Remove generator mount bracket from vehicle.
9. Rotate generator toward rear dash panel.

Generator
imageOpen In New TabZoom/Print

10. Disconnect the push-in field wire connector from back of generator.
11. Remove nut holding B+ wire terminal to back of generator.
12. Separate B+ terminal from generator.

Generator Pivot Bolt
imageOpen In New TabZoom/Print

13. Remove bolt holding bottom of generator to lower pivot bracket.

Generator
imageOpen In New TabZoom/Print

14. Remove generator from vehicle.

INSTALLATION
1. Place generator in position on vehicle.
2. Install bolt to hold bottom of generator to lower pivot bracket.
3. Place B+ terminal in position on generator.
4. Install nut to hold B+ wire terminal to back of generator.
5. Connect the push-in field wire connector into back of generator.
6. Rotate generator forward away from dash panel.
7. Place generator mount bracket in position on vehicle.
8. Install bolt to hold top of generator to mount bracket.
9. Install bolts to hold outside of generator mount bracket to generator mount plate.
10. Install bolt to hold top of generator mount bracket to engine air intake plenum.
11. Install accessory drive belt.
12. Install windshield wiper housing, refer to Windshield Wipers and Washers for proper procedures.
13. Connect battery negative cable.
14. Verify generator charge rate.
Feb 12, 2021 at 1:22 PM (Merged)
Avatar
PASTORVAUGHN
  • MEMBER
  • 5 POSTS
Hello sirs. My battery light is on in my van. The check engine light is not on. I had the alternator checked and that is good, i installed a new battery and thats good. When i start it up the car starts up good, but sometimes i hear some fluttering from the Auto shutdown relay. I have a semi-loud squeeling from below in the engine, but somewhere between the alternator and the battery, something isnt right. When the car was started, i took off the negative lead on the battery and the car went off! please help!!
Feb 12, 2021 at 1:22 PM (Merged)
Avatar
RASMATAZ
  • CERTIFIED EXPERT
  • 75,992 POSTS
Inspect and test fuse no.2 10amp and fuse no.17 20amp and the ASD relay-could be the computer controlled of the alternator field generation driver that's built within-See Charge system EWD.


https://www.2carpros.com/forum/automotive_pictures/12900_c1_25.jpg


https://www.2carpros.com/forum/automotive_pictures/12900_c2_23.jpg

Feb 12, 2021 at 1:22 PM (Merged)
Avatar
CARADIODOC
  • CERTIFIED EXPERT
  • 34,306 POSTS
AAAGGGGHHH! Don't pull the battery cable off!

That trick worked years ago with carbureted cars, but if the charging system is working, the computers on your van can be destroyed. It's possible for system voltage to go as high as 18 volts at idle, and 35 volts if you raise engine speed, without the battery in the circuit to help regulate system voltage.

Do you have a digital voltmeter? I assume the battery light is still on. Is that correct?

caradiodoc
Feb 12, 2021 at 1:22 PM (Merged)
Avatar
PASTORVAUGHN
  • MEMBER
  • 5 POSTS
yes the battery light is still on. I do have a volt meter. I thought tha the pulling off of the battery cable to see if the car is still running worked. sorry
Feb 12, 2021 at 1:22 PM (Merged)
Avatar
RASMATAZ
  • CERTIFIED EXPERT
  • 75,992 POSTS
Read the battery's open voltage before you start the vehicle should read 12.4 or better, start vehicle read again should be 13.5-15.5volts with a load-if its reading battery open voltage-the alternator is not doing its job or wiring and computer problem-review the EWD
Feb 12, 2021 at 1:22 PM (Merged)
Avatar
PASTORVAUGHN
  • MEMBER
  • 5 POSTS
I tested the battery when the car was off and the voltage was 12.5. I tested it also when the car was on and the voltage was the same 12.5 volts. Also do you think that the squeeling from one of the pulleys can slow the belt down as to not provide power to the battery from the alternator? I have a problem also with the belt slipping off on the least little moisture that hits it.
Feb 12, 2021 at 1:22 PM (Merged)
Avatar
RASMATAZ
  • CERTIFIED EXPERT
  • 75,992 POSTS
Investigate and retension the belt could be loose/slipping if okay get the alternator retested-okay again check what I've suggested earlier
Feb 12, 2021 at 1:22 PM (Merged)
Avatar
PASTORVAUGHN
  • MEMBER
  • 5 POSTS
will do, get back to you after...
Feb 12, 2021 at 1:22 PM (Merged)
Avatar
2 LINSEY
  • CERTIFIED EXPERT
  • 287 POSTS
Hi, Thank you for using 2CarPros.com. We appreciate your donation and look forward to helping you in the future.
Feb 12, 2021 at 1:22 PM (Merged)
Avatar
PASTORVAUGHN
  • MEMBER
  • 5 POSTS
hello since i last talked to you i replaced the tensioner and that fixed the belt coming off problem. I bought a tensioner from the chrysler dealer and it was the correct part. But my battery light is still on and my hanes book told me to take it to the dealer for it is nothing i could do for this problem. If you can help me please do.
Feb 12, 2021 at 1:22 PM (Merged)
Avatar
RASMATAZ
  • CERTIFIED EXPERT
  • 75,992 POSTS
But my battery light is still on and my hanes book told me to take it to the dealer for it is nothing i could do for this problem.

Battery light keeps coming On-could mean a problem with the computer controlled of the alternator's field generation driver circuit
Feb 12, 2021 at 1:22 PM (Merged)
Avatar
2CP-ARCHIVES
  • MEMBER
  • 4,540 POSTS
My battery light is on. I had the alternator tested at advance and autozone they both said it was good. I bought a new battery same problem. I replaced the pcm thinking it was the regulator same problem. The pcm is a used unit. The light does'nt always come on right away some days the van can be running for hours. Am I missing something.
Feb 12, 2021 at 1:22 PM (Merged)
Avatar
CARADIODOC
  • CERTIFIED EXPERT
  • 34,306 POSTS
You have to test the alternator while the problem is acting up. They almost always test good when you remove them from the engine and test them on the test bench, and it will likely test good on the engine if that is done when the light is off.

When the light turns on again, measure the voltages on the two smaller wires on the back of the alternator. That has to be done with the engine running. One will have full battery voltage. The other one should have less but not 0 volts. If you find 0 volts on one wire, the brushes are worn. They always start out being intermittent. On '95 and older models that assembly can be replaced without removing the alternator from the engine. I don't know if you can do that on a '99 model.

On some models you have to back-probe the connectors to take those voltage readings. On some there are two small nuts that are the test points. They often get rusty and you have to really scratch a clean spot with your meter probe to get an accurate reading.
Feb 12, 2021 at 1:22 PM (Merged)