Most likely you have a module that is not powering down after the vehicle is locked and the modules (computers) time out. The correct way to diagnose a parasitic draw on the battery is go through the process of putting the vehicle to sleep. Leaving access to all the fuse panels, by keeping the doors open, but latching the door latches, latch the hood latch so the hood can remain open for testing. Then lock the vehicle and allow all the modules to time out (go to sleep, by powering down). Give the vehicle an hour or so to make sure every module has powered down and use a multimeter set on dc volts and start going over each fuse until there is a reading, it will be a very low reading. In the millivolts, but any fuse that reads a voltage drop on it has current flowing through it. Meaning that circuit is still carrying current and is possibly the circuit keeping a module awake and drawing down the battery. It sounds like a complicated test, but it is not.
The reason the doors need to be latched is because when you open a door, the body control module or the door module will power up and start transmitting on the network and therefore cause other modules to power up. This is normal for preparing for startup.
Some people will just start pulling fuses out until the draw on the battery is gone, but this is not the correct way. Pulling fuses and reinstalling them will only cause modules to power up and cause more draw on the battery.
Have you been having any issues with the door handles not functioning correctly?
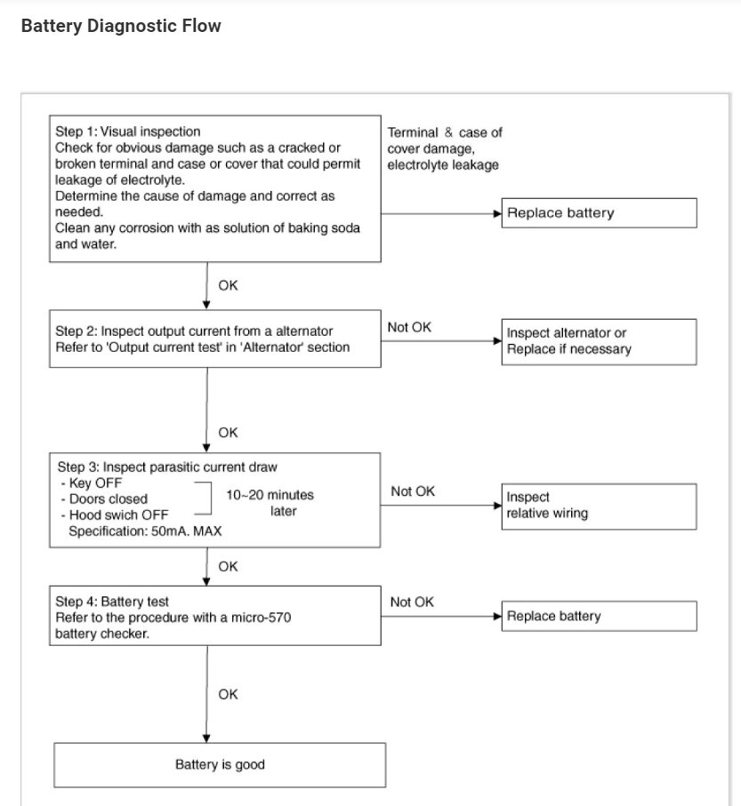
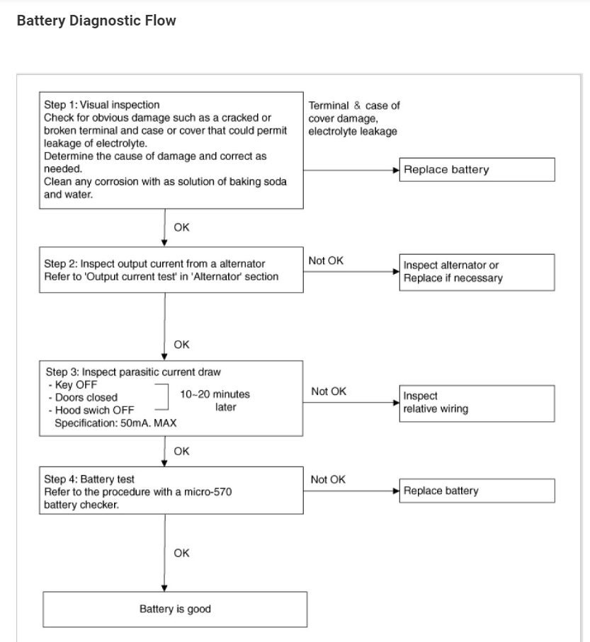
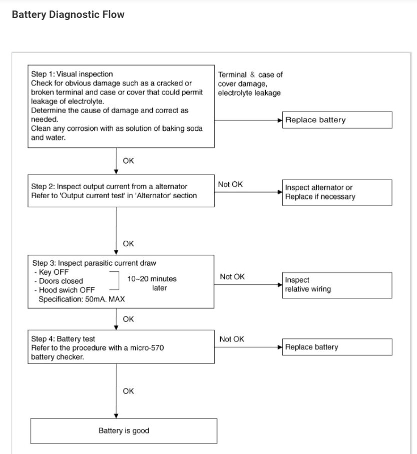
Check for this concern (third diagram) it has to do with a battery discharge issue.
https://www.2carpros.com/articles/car-battery-dead-overnight
Images (Click to enlarge)
Nov 4, 2022 at 8:29 PM