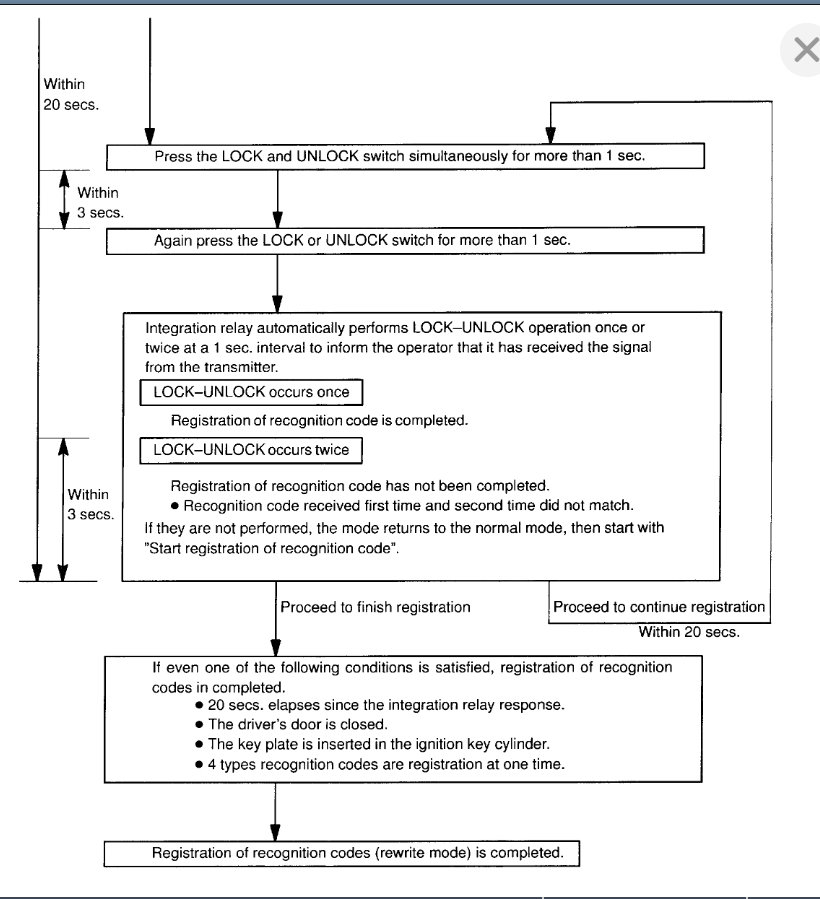
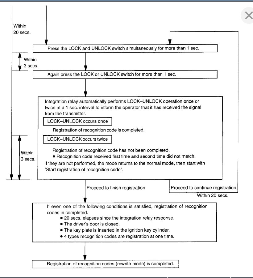
Okay. I included the process for this vehicle which is assuming this was a factory installed system as that is the fob that you appear to have. Keep in mind there were also dealer installed systems that have different fob's but are programmed the same way.
I read about these from this website and it seems like theirs say it doesn't matter which so if it doesn't program it is either the fob is wrong or there is an issue with the system.
Was this system working before and you just lost the fob or are you just trying to get this working now and never actually had any fob's since you bought it? Basically just looking for the backstory. Thanks
Images (Click to enlarge)
Feb 19, 2020 at 4:54 PM