How do I determine what is causing my keyless remote access to malfunction.

2002 LEXUS LX 470
150,000 MILES
Avatar
BUTTNICK
  • MEMBER
  • 1 POST
The keyless remote no longer either unlocks or locks the doors. The battery has been replaced in the key/remote and, when a button is depressed on the key/remote, the small, red LED lights up but nothing happens. This happened a couple of days ago for a short period and then all appeared to be working again. Now nothing. The key opens the door and can be used to open (or lock) all doors. Likewise, the panel on the inside driver's door also works to either open or lock all doors. What could cause this and is there a check list I can follow to narrow down the problem? Thanks.
Dec 5, 2011 at 7:15 PM
Advertisement
Avatar
HMAC300
  • CERTIFIED EXPERT
  • 48,601 POSTS
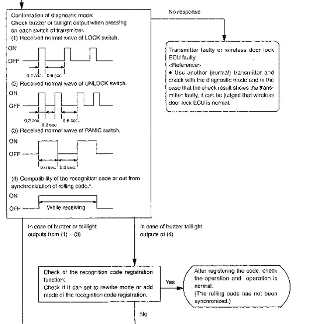
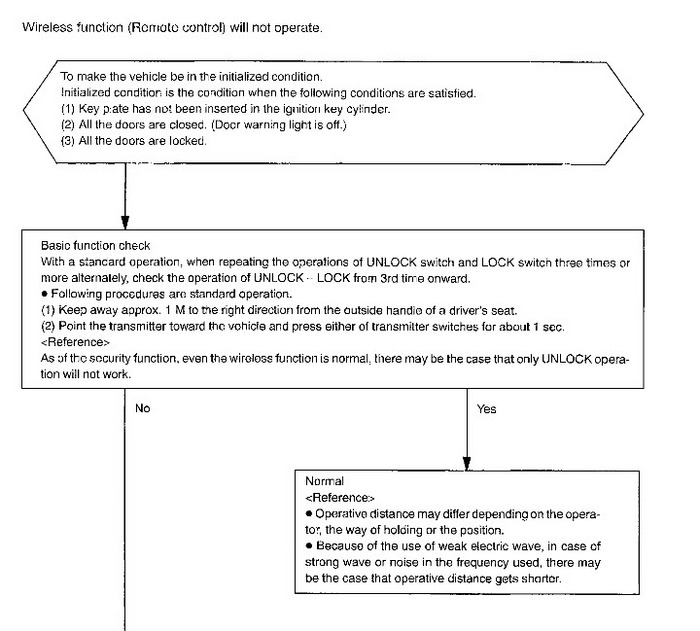
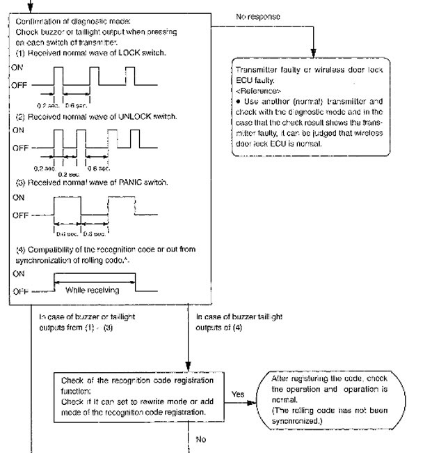
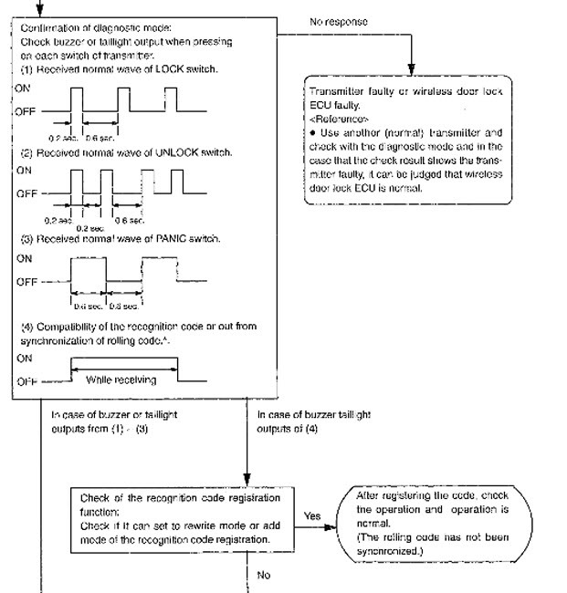
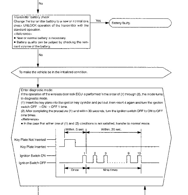
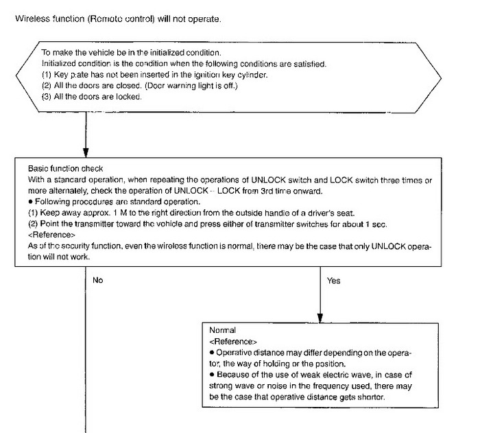
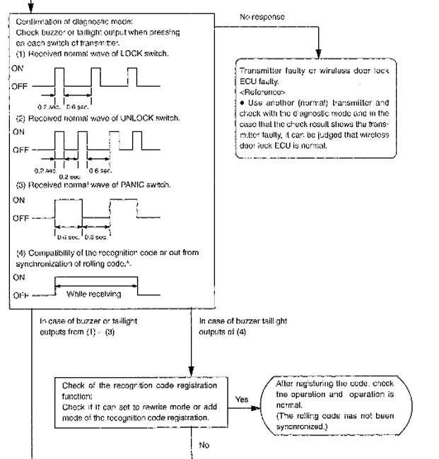
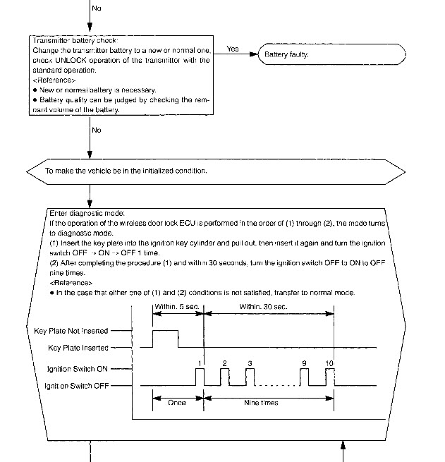
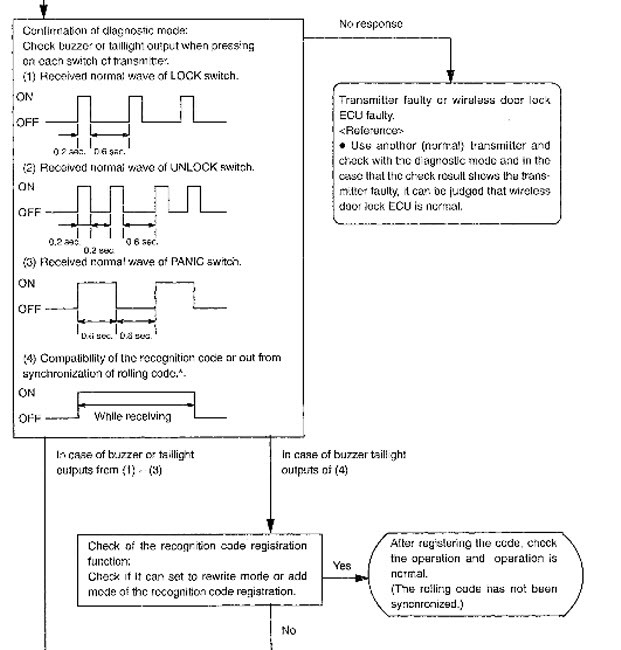
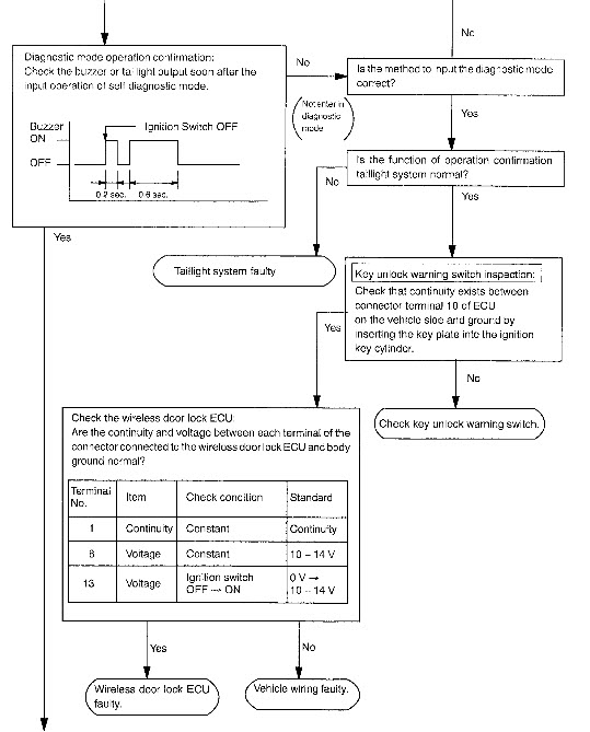
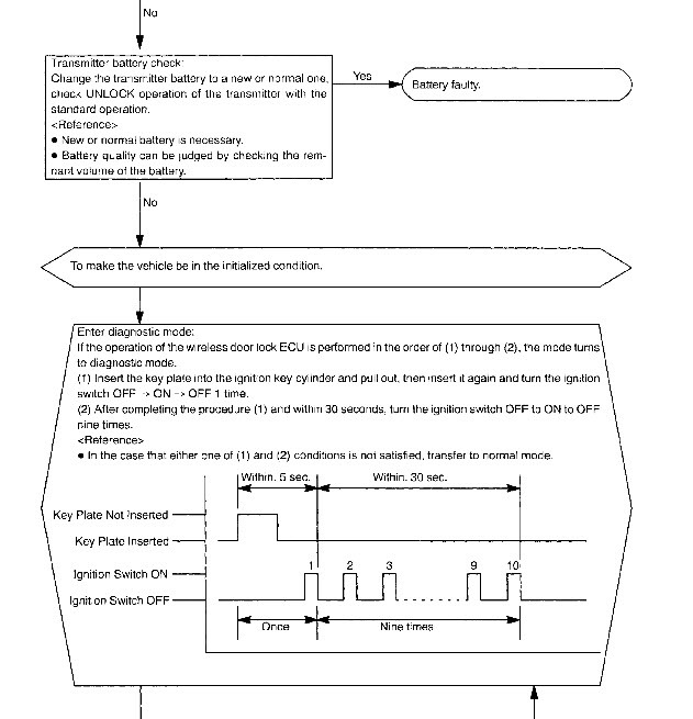
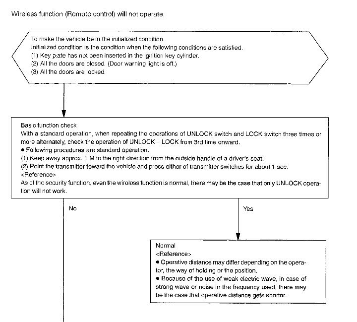
here is the way to check this. but before you do anything, try another transmitter for that car if you have one. if it works then the transmitter is bad. pics are a 5 unit series.
Dec 5, 2011 at 8:51 PM